Zadanie jest zamknięte. Autor zadania wybrał już najlepsze rozwiązanie lub straciło ono ważność.
Najlepsze rozwiązanie
Rozwiązania
Podobne zadania
|
|
2 rozwiązania | autor: lolita1990 22.4.2010 (15:48) |
|
|
4 rozwiązania | autor: madzia1170 4.5.2010 (14:42) |
|
|
1 rozwiązanie | autor: gosiaczekmwtw 12.5.2010 (18:53) |
|
|
2 rozwiązania | autor: madziuSSia15 15.5.2010 (21:18) |
|
|
1 rozwiązanie | autor: aniusia9317 17.5.2010 (17:38) |
Podobne materiały
Przydatność 75% Postępowanie w razie wypadku
Wypadek drogowy Pamiętaj o zapewnieniu sobie bezpieczeństwa, sam nie możesz stwarzać sobie stanu zagrożenia 1. Zaparkuj przed miejscem zdarzenia celem zabezpieczenia miejsca i kierując koła w stronę pobocza, włącz światła awaryjne. 2. Nocą załóż na siebie coś jasnego lub przyczep sobie jakiś materiał odblaskowy i używaj latarki. Stosuj ogólne zasady bezpieczeństwa. 3....
Przydatność 75% Pierwsza pomoc i zachowanie w razie wypadku
Jak udzielić pierwszej pomocy. OBOWIĄZKIEM PRAWNYM I MORALNYM KAŻDEGO KIEROWCY JEST UDZIELENIE DORAŹNEJ POMOCY POTRZEBUJĄCYM, PRZEDE WSZYSTKIM OFIAROM WYPADKÓW. Aby móc udzielić pierwszej pomocy należy najpierw ocenić stan poszkodowanego. Pierwszą czynnością jest skontrolowanie tętna: zazwyczaj tętno bada się na tętnicy szyjnej lub promieniowej; można jednak również...
Przydatność 55% Ochrona dóbr kultury w razie konfliktu zbrojnego
KONSPEKT LEKCJI Data 29.04.2005 Klasa 2 c Czas trwania 45 min Przedmiot Przysposobienie obronne Temat zajęć Ochrona dóbr kultury w razie konfliktu zbrojnego Cel zajęć Uświadomcie jak ważna jest ochrona narodowych dóbr kulturalnych w razie konfliktu zbrojnego. Przebieg lekcji Sprawdzenie wiadomości ucznia z poprzednich zajęć Odpowiedz ustna Uwagi wstępne Rozdanie uczniom...
Przydatność 55% Felieton - Nazizm, Nazi dziś nie razi
Antysemityzm, homofobia, rasizm, ksenofobia ? zachowania i poglądy, z którymi spotykamy się prawie na każdym kroku. Wystarczy popatrzeć ma komentarze do artykułów w internecie. Przykładowo ? historia czarnoskórego, który zaraził kilkanaście kobiet AIDS. Pod artykułem setki obraźliwych komentarzy wobec czarnoskórych, tak, jakby każdy z nich był nosicielem wirusa HIV, jakby...
Przydatność 75% Interpretacja wiersza "Nic dwa razy"
Autorka wiersza twierdzi, że nic w życiu dwa razy się nie zdarza. Trzeba korzystać z życia i tego co mamy w danej chwili. "Nic dwa razy" bardzo dobrze odzwierciedla prawdziwość życia. Sprawia i uświadamia nam, że to co dzieje się teraz powinno mieć największe znaczenie. Wiersz ten opisuje prawdę, iż każdy z nas podlega przemijaniu lecz nie możemy się martwić z tego...
0 odpowiada - 0 ogląda - 2 rozwiązań
2 0
sonar 28.9.2013 (12:48)
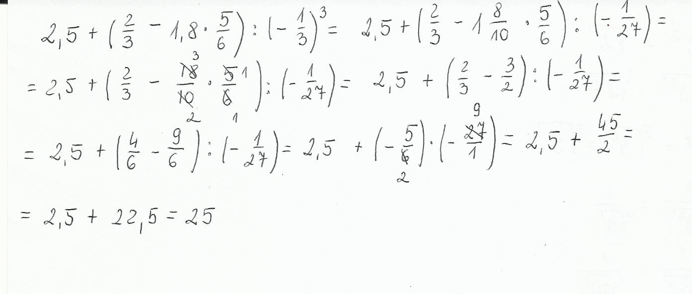
2,5+(2/3 -1,8 * 5/6) :(-1/3)^3=
= 2,5 + (2/3 - 1 i 8/10 * 5/6) : (- 1/27)=
= 2 i 5/10 + ( 2/3 - 18/10 * 5/6) * (-27/1)= (skracam 18 z 6 oraz 10 z 5)
= 2 i 5/10 + ( 2/3 - 3/2 * 1/1) * ( - 27)=
= 2 i 5/10 + ( 2/3 - 3/2) * (-27) =
= 2 i 5/10 + ( 4/6 - 9/6) * (-27)=
= 2 i 5/10 + ( - 5/6) * (-27) = ( skracam 6 z 27)
= 2 i 1/2 + ( - 5/2) * (-9)=
= 2 i 1/2 + 45/2=
= 2 i 1/2 + 22 i 1/2=
= 24 i 2/2 =
= 25
Dodawanie komentarzy zablokowane - Zgłoś nadużycie
sonar 28.9.2013 (12:48)
Lub w taki sposób
2,5+(2/3 -1,8 * 5/6) :(-1/3)^3=
= 2,5 + (2/3 - 1 i 8/10 * 5/6) : (- 1/27)=
= 2,5 + ( 2/3 - 18/10 * 5/6) * (-27/1)= (skracam 18 z 6 oraz 10 z 5)
= 2,5+ ( 2/3 - 3/2 * 1/1) * ( - 27)=
= 2,5 + ( 2/3 - 3/2) * (-27) =
= 2,5 + ( 4/6 - 9/6) * (-27)=
= 2,5 + ( - 5/6) * (-27) = ( skracam 6 z 27)
= 2,5 + ( - 5/2) * (-9)=
= 2,5 + 45/2=
= 2,5 + 22 i 1/2=
= 2,5 + 22 i 5/10=
= 2,5 + 22,5=
= 25