Treść zadania

tetus4

Proszę o pomoc w 3 równaniach z pierwiastkami.
przykłady w załączniku.

Załączniki do zadania

Zadanie jest zamknięte. Autor zadania wybrał już najlepsze rozwiązanie lub straciło ono ważność.

Najlepsze rozwiązanie

Rozwiązania

  • Muflona

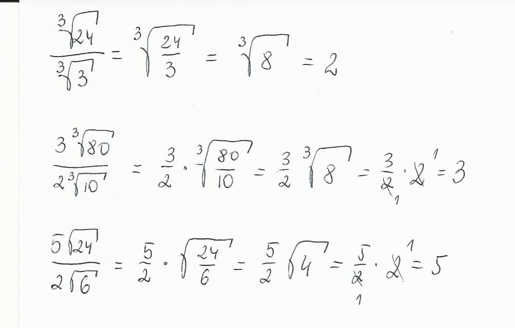
    Jeśli coś jest pod pierwiastkiem trzeciego stopnia to inaczej jest to liczba do potęgi 1/3, czyli można zapisać:

    \frac{24^{1/3}}{3^{1/3}} * \frac{3* 80^{1/3}}{2 * 10^{1/3}} * \frac{5 * 24^{1/2}}{2*6^{1/2}}


    Wiemy, że 24 / 3 = 8

    \frac{24^{1/3}}{3^{1/3}} =

    8 ^ {1/3} =

    2

    Dzielenie potęg o tych samych wykładnikach:
    Czyli dzielimy 24 na 3, otrzymując 8. Wiemy także że

    \frac{3* 80^{1/3}}{2 * 10^{1/3 }} =

    \frac{ 27^{1/3} * 80^{1/3}}{8 ^{1/3}* 10^{1/3}} =

    \frac{2160 ^{1/3}}{80^{1/3}} =

    27^{1/3}

    Inaczej zapisując, trzeci składnik iloczynu otrzymamy:

    \frac{5 * 24^{1/2}}{2*6^{1/2}} =

    \frac{25 ^{1/2}* 24^{1/2}}{4^{1/2}*6^{1/2}} =

    \sqrt{\frac{600}{24}} =

    \sqrt{25} = 5

    Podstawiając do głównego równania otrzymamy:

    8^{\frac{1}{3}} * 27^{\frac{1}{3}} * 5 =

    2 * 3 * 5 =

    30

    • A ja to policzyłam jako jedno, przepraszam za niezrozumienie, ale mam nadzieję, że sobie poradzisz :)

Podobne zadania

basia0501 Proszę o pomoc!!! Oto tekst zadania: Do podanych równań ułóż tekst zadań: Przedmiot: Matematyka / Gimnazjum 1 rozwiązanie autor: basia0501 30.3.2010 (21:19)
madziunia09999 proszę o pomoc Przedmiot: Matematyka / Gimnazjum 1 rozwiązanie autor: madziunia09999 1.4.2010 (23:32)
darka120 Matematyka. Zadania tekstowe-równania ;/ Bardzo proszę o pomoc :) Przedmiot: Matematyka / Gimnazjum 2 rozwiązania autor: darka120 7.4.2010 (18:35)
darka120 Nierówności.Bardzo proszę o pomoc :) Przedmiot: Matematyka / Gimnazjum 1 rozwiązanie autor: darka120 11.4.2010 (15:18)
Larex Byłbym wdzięczny za pomoc :] Przedmiot: Matematyka / Gimnazjum 4 rozwiązania autor: Larex 12.4.2010 (20:46)

Podobne materiały

Przydatność 80% Pierwsza pomoc - pomoc przedmedyczna

Pierwsza Pomoc Przedmedyczna Pierwsza pomoc przedmedyczna to czynności ratownika (osoby udzielającej pierwszą pomoc) prowadzące do zabezpieczenia i utrzymania przy życiu osoby poszkodowanej, do czasu przyjazdu wykwalifikowanych służb. Etapy pierwszej pomocy 1. ocena sytuacji 2. zabezpieczenie miejsca zdarzenia 3. ocena stanu poszkodowanego 4. wezwanie pomocy - 999 ? Pogotowie...

Przydatność 50% Pierwsza pomoc

UDZIEANIE PIERWSZEJ POMOCY POSZKODOWANYM RANY Rany należą do najczęszczych uszkodzeń urazowych i w większości powstają w następstwie nieszczęśliwych wypadków. Niektóre zranienia wymagają natychmiastowego opatrzenia z uwagi na stan zagrożenia życia. Inne natomiast nie zagrażają życiu, wymagają jedynie doraźnej pomocy, co wcale nie znaczy, że można je lekceważyć....

Przydatność 55% Pierwsza pomoc

PIERWSZA POMOC TELEFONY ALARMOWE numer pogotowia ratunkowego: 999numer telefonu alarmowego telefonii komórkowej: 112 Wzywając pogotowie ratunkowe należy podać krótkie i konkretne informacje o stanie chorego. Powinny zawierać informacje takie jak:- krótki opis zdarzenia,- jaki czas minął od zdarzenia,- aktualny stan chorego: a) czy oddycha, b) czy ma tętno na tętnicy szyjnej,...

Przydatność 55% Pierwsza pomoc

„Pierwsza pomoc w stanach zagrożenia życia” Zespół czynności podejmowanych dla zapewnienia w pierwszej kolejności podstawowych funkcji życiowych ustroju przed natychmiastową , bezprzyrządową diagnostykę stanu ogólnego wg prostego schematu : 1. przytomny - nieprzytomny 2. oddycha – nie oddycha 3. krążenie obecne –...

Przydatność 50% Pierwsza pomoc

Zanim zaczniesz ratować Dobrze byłoby, gdyby każdy z nas znał podstawy udzielania pierwszej pomocy, aby umieć zachować się w różnych przypadkach, które spotykamy w swoim życiu. Oto garść porad, które nam w tym pomogą. Jeśli masz do czynienia z ofiarą tragicznego wypadku, zawsze stosuj się do poniższych zasad. Najpierw ostrożnie zbadaj ofiarę. Podchodząc do...

0 odpowiada - 0 ogląda - 2 rozwiązań

Dodaj zadanie

Zobacz więcej opcji