Treść zadania

Sailor_Moon

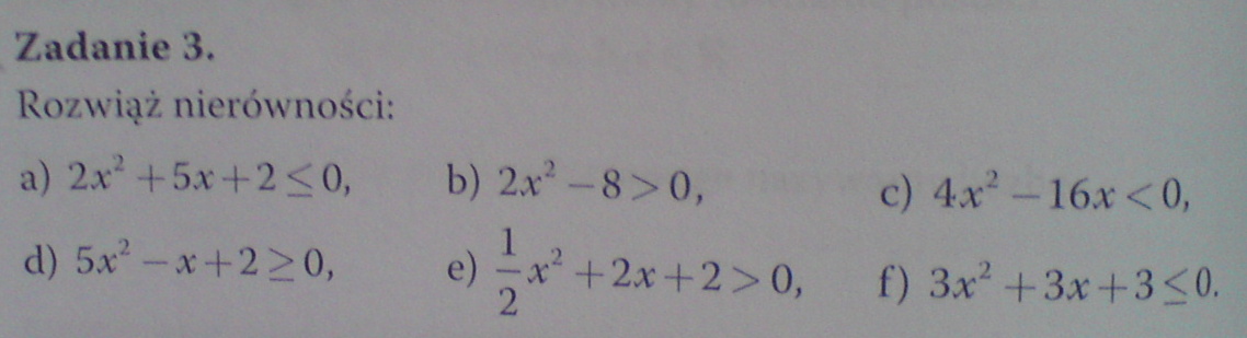
ZADANIE 3

Załączniki do zadania

Zadanie jest zamknięte. Autor zadania wybrał już najlepsze rozwiązanie lub straciło ono ważność.

Rozwiązania

  • Szajbusek7

    Witam.
    Zadanie w załącznikach.
    Jak są jakieś niejasności to z chęcią wytłumaczę.
    Pozdrawiam

    Załączniki

Podobne zadania

Nieznany Mam takie zadanie obliczyc Pb ostr.prawidl.trójkąt. gdzie krawędz wynosi 8 Przedmiot: Matematyka / Studia 1 rozwiązanie autor: Konto usunięte 9.5.2010 (14:08)
Blondi9393 Zadanie z matematyki ! Podobieństwa figur ! Przedmiot: Matematyka / Studia 1 rozwiązanie autor: Blondi9393 18.9.2010 (18:11)
pestka136 Zadanie na całki Przedmiot: Matematyka / Studia 1 rozwiązanie autor: pestka136 16.12.2010 (22:29)
pestka136 Zadanie na całki Przedmiot: Matematyka / Studia 2 rozwiązania autor: pestka136 20.12.2010 (00:22)
gooosiaac23k Zadanie E2. Przedmiot: Matematyka / Studia 1 rozwiązanie autor: gooosiaac23k 13.2.2011 (19:48)

Podobne materiały

Przydatność 55% Analiza Finansowa- zadanie

praca w załącznikach

Przydatność 80% Zadanie z fizy

1.46 Z ciała o masie m1= 11000kg następuje strzał w kierunku poziomym. Masa pocisku wynosi m2= 54kg. Oblicz prędkość, z jaką działo zostaje odrzucone wstecz, jeśli prędkość pocisku wynosi v2= 900 m/s. m1= 11000 kg m2= 54 kg v1 = ? v2 = 900 m/s Po = Pk Po=(m1+m2)* V V= 0 – na początku działo jest w spoczynku 0=m2*v2 – m1*v1 m1*v1 = m2*v2 v1=...

Przydatność 75% Zadanie inspektora BHP

JAK ROZUMIESZ ROLE I ZADANIA INSPEKTORA BHP W TWOIM ZAKŁADZNIE Inspektor BHP w zakładzie pracy pełni role doradcze i kontrolne. Podstawowym zadaniem pełniącej role BHP w zakładzi jest okresowa analiza stanu bezpieczeństwa i higieny pracy. Inspektor slużby BHP jest zobowiązany do sporządzenia i przedstawiania pracodawcy co najmniej raz w roku okresowych analiz stanu...

Przydatność 90% Zadanie z weryfikacji hipotez

Ustalono na podstawie analizy kosztów, że będzie się opłacać się wybudowanie motelu przy trasie komunikacyjnej, jeśli będzie przejeżdżać tą trasą więcej niż 800 samochodów dziennie. W losowe wybrane dni roku liczono ilość przejeżdżających samochodów. Otrzymano następujące rezultaty: 792, 810, 820, 886, 910, 840, 1025, 790, 972, 830, 810, 780, 815, 954, 810, 930, 820. Na...

Przydatność 50% Zadanie z prawdopodobieństwa

Losujemy 5 liczb z 42. Określić prawdopodobieństwo, że wśród tych pięciu wylosowanych liczby trafimy 'trójkę'. Ile razy to prawdopodobieństwo jest większe od wylosowania 'czwórki' i 'piątki'?

0 odpowiada - 0 ogląda - 1 rozwiązań

Dodaj zadanie

Zobacz więcej opcji