Treść zadania
Autor: maciek12 Dodano: 4.6.2013 (16:28)
Hej... Bardzo proszę o rozwiązanie tego sprawdzianu bo jest mi bardzo potrzebny na jutro.!!
BĘDĘ BARDZO WDZIĘCZNY :)
Zadanie jest zamknięte. Autor zadania wybrał już najlepsze rozwiązanie lub straciło ono ważność.
Rozwiązania
Podobne zadania
|
|
3 rozwiązania | autor: misiek33456 28.3.2010 (14:49) |
|
|
2 rozwiązania | autor: agata96 28.3.2010 (21:46) |
|
|
4 rozwiązania | autor: hipopotam 29.3.2010 (21:09) |
|
|
2 rozwiązania | autor: darka120 7.4.2010 (18:35) |
|
|
1 rozwiązanie | autor: agacik 7.4.2010 (20:38) |
Podobne materiały
Przydatność 65% Składnia - powtórzenie do sprawdzianu
1. Składnia - dział gramatyki zajmujący się funkcją wyrazu w zdaniu, układem zdania oraz jego budową. 2. Wypowiedzenie - ogół wszystkiego, co mówimy, by przekazać jakąś informację. Podział: Zdanie, Równoważnik zdania 3. Zdanie - wypowiedzenie zawierające czasownik w formie osobowej 4. Równoważnik zdania - wypowiedzenie, w którym nie występuje czasownik w formie...
Przydatność 80% Materiał do sprawdzianu - Średniowiecze.
ŚREDNIOWIECZE 1. Czas trwania: Europa: V-XV w. Polska: X-XVw. 2. Uniwersalizm epoki: Ówczesna Europa dążyła do wyznaczania jednej wiary-chrześcijaństwa, miała wspólne zwierzchnictwo papieskie, język urzędowy (łacinę i zwierzchnika świeckiego (zwierzchnik cesarstwa rzymskiego narodu niemieckiego). 3. Światopogląd: Teocentryzm, religijność sztuki, anonimowość dzieł...
Przydatność 60% Maretiał do sprawdzianu - romantyzm
ROMANTYZM: Mesjanizm- pogląd przypisujący jednostkom lub narodom szczególne posłannictwo wobec ludzkości. Jest to wiara w to, że Chrystus nas wybawi. Mistycyzm- to prąd religijno-filozoficzny uznający możliwość jednoczenia się duszy człowieka z absolutem, bóstwem poprzez intuicję i objawienie. Sceny mistyczne to sceny spotkań świata rzeczywistego ze światem poza ziemskim...
Przydatność 65% Przygotowanie do sprawdzianu: Azja
Położenie Geograficzne Azji. Azja jest największym kontynentem. Jej powierzchnia wynosi 44 mln. Km.2. Połączona jest z Europą i tworzy euro- Azję. Azja otoczona jest Oceanem Spokojnym i Indyjskim. Zajmuje półkulę wschodnia i północna. Ukształtowanie powierzchni: *niziny: Chińska, Zachodnio- Syberyjska, Gangesu, Indusu. *wyżyny: Dekan, Środkowo-Syberyjska, mongolska *góry:...
Przydatność 80% Kazimierz Wierzyński – „Hej! Świat się kręci!”, analiza i interpretacja.
W utworze została użyta liryka bezpośrednia, a tematem wiersza jest spotkanie dwojga zakochanych. Podmiot liryczny w piękny sposób opisuje zależności między kobietą a mężczyzną i łączące ich więzi emocjonalne. Wspomniane w tytule oraz początkowych wersach utworu słowa są spowodowane uczuciem, miłością. Autor używa wiele wykrzyknień – podkreśla ogromne emocje...
0 odpowiada - 0 ogląda - 1 rozwiązań
0 0
rybitwa11 5.6.2013 (02:21)
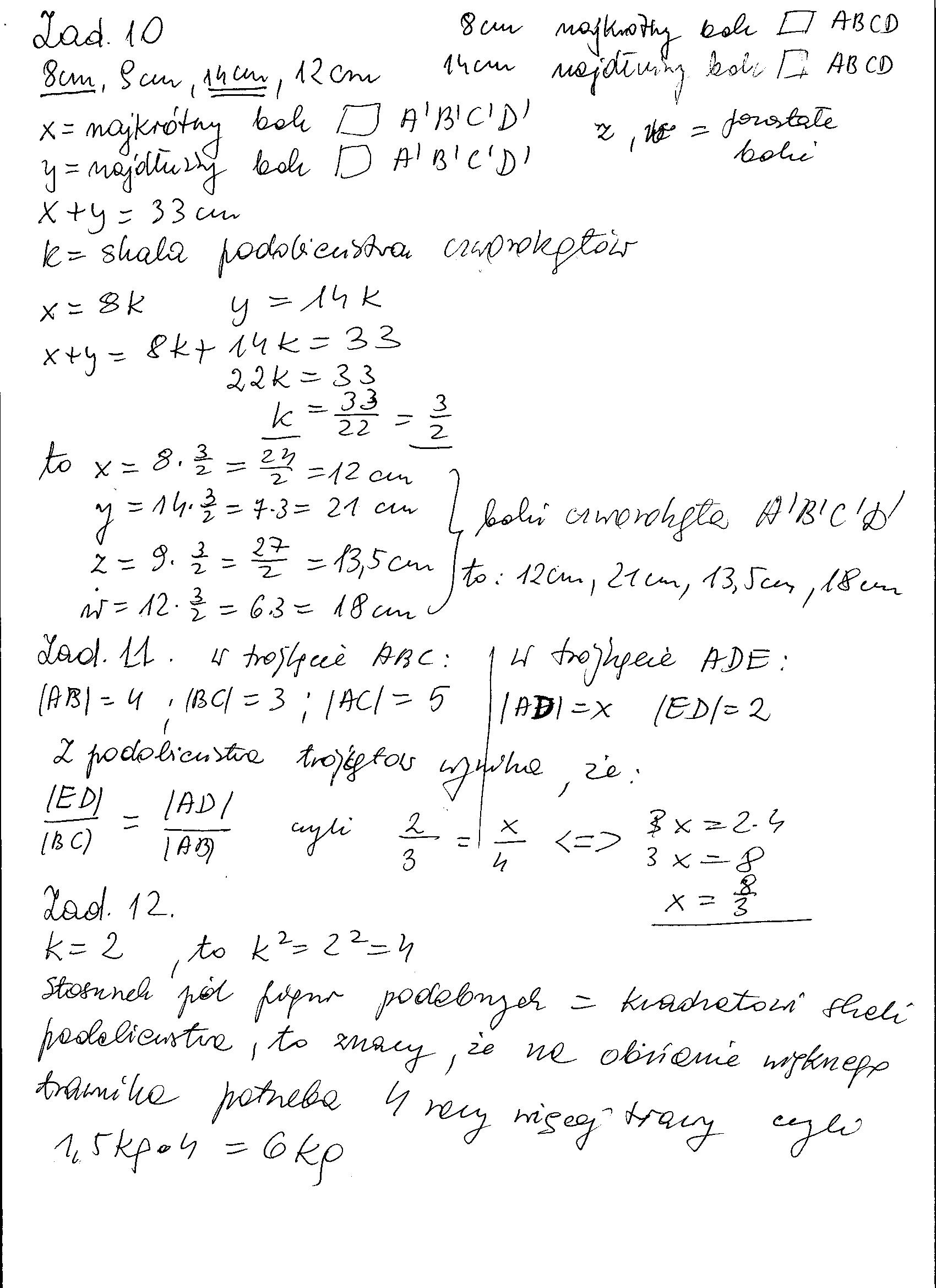
rozw w załąccznikach
Załączniki
Dodawanie komentarzy zablokowane - Zgłoś nadużycie