Treść zadania

pakos137

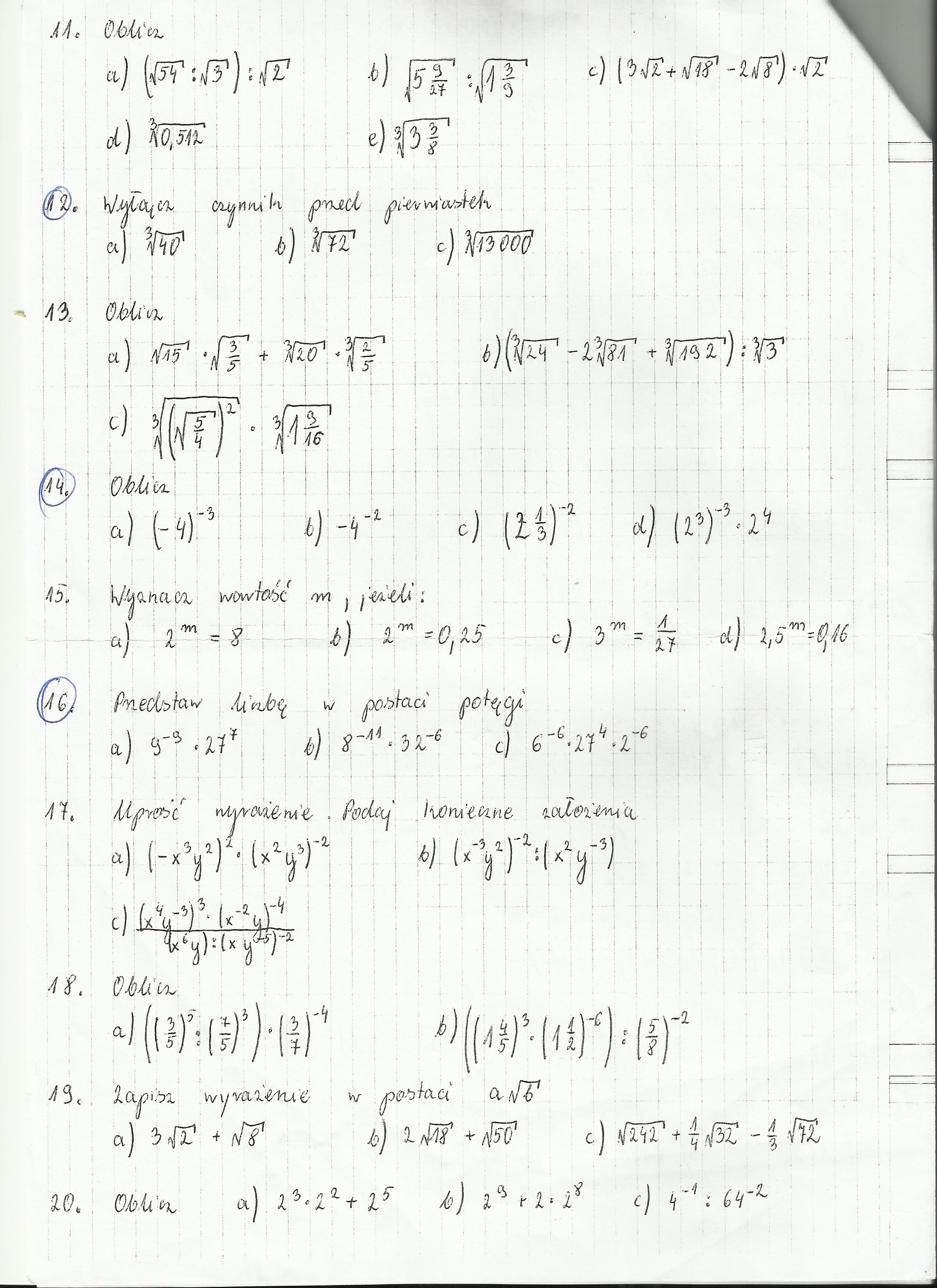
Proszeo rozwiazanie zadań kturych znajdują się w załączniku 12,14,16,17,18,19,20 będe bardzo wdzięczny

Załączniki do zadania

Zadanie jest zamknięte. Autor zadania wybrał już najlepsze rozwiązanie lub straciło ono ważność.

Rozwiązania

Podobne zadania

izuska26 bardzo prosze o szybkie rozwiazanie.. Przedmiot: Matematyka / Liceum 1 rozwiązanie autor: izuska26 20.6.2010 (09:09)
czarnulka0710 (3^17/16)^(-12/17) pilne I rozwiazanie najwyzej punktowane jezeli wyjdzie1/9 Przedmiot: Matematyka / Liceum 1 rozwiązanie autor: czarnulka0710 28.9.2010 (20:52)
mika038 Proszę o rozwiazanie zadania. Pytania są w załączniku. Pilne Przedmiot: Matematyka / Liceum 1 rozwiązanie autor: mika038 17.10.2010 (20:02)
Nieznany prosze o szybkie rozwiazanie Przedmiot: Matematyka / Liceum 1 rozwiązanie autor: Konto usunięte 21.11.2010 (20:25)
czop12 proporcja prosta i odwrotna zada.1 mateusz codziennie przepływa 15 długosci Przedmiot: Matematyka / Liceum 1 rozwiązanie autor: czop12 22.11.2010 (19:11)

Podobne materiały

Przydatność 100% Czy człowiek w dalszym ciągu znajduje się w sytuacji niewiernego Tomasza

Niewątpliwie mimo upływającego czasu człowiek w dalszym ciągu znajduje się w sytuacji niewiernego Tomasza. Każdy z nas jest w pewnym sensie osobą, która ufa przede wszystkim sobie. Prawda jest taka, że w swoim mniemaniu jesteśmy dla siebie najważniejsi. Uważamy, że to nam należy się szczęście i wszystkie inne dobra. Swoją tezę pragnę udowodnić....

Przydatność 65% Czy bunt Antygony przeciw władcy Teb znajduje uzasadnienie w Twoich oczach?

Czy każdy z nas ma prawo do buntu? Czy przynosi korzyści czy nie? Czu bunt wywołany w dobrej chwili może dużo zmienić w życiu? MOim zdaniem Antygona miała prawo do buntu przeciw władcy Teb. Mam nadzieję,że uda mi się udowodnić swoje racje w poniższych argumentach. Czy osoba, która posiada rodzeństwo będzie je bronić lub choć starać się wybawić je z...

Przydatność 60% "Hymn" J.Słowackiego - sytuacja w jakiej znajduje sie podmiot liryczny

W odczuciach podmiotu lirycznego dominuje smutek,wskazuje na to apostrofa "Smutno mi,Boże!" Nastrój ten ma swoje przyczyny:osamotnienie,brak nadziei powrotu do ojczyzny,porównanie piękna świata z małośią ludzką,obawa o przyszłość,a także tułaczka,która zakończy się śmiercią.Monolog osoby mówiącej w wierszu jest wyznaniem,modlitwą,medytacją nad losem emigranta.Podmiot...

Przydatność 70% Każde pokolenie w "Panu Tadeuszu" Adama Mickiewicza znajduje coś dla siebie, wskaż i uzasadnij co zaintrygowało ciebie jako reprezentanta pokolenia współczesnego w tym eposie.

„Pan Tadeusz” A. Mickiewicza jako epopeja narodowa znalazła na stałe miejsce w kanonie wielkiej literatury polskiej. Przez krytyków „Pan Tadeusz” uważny jest za najwspanialsze dzieło wieszcza, wyniesione na piedestał kunsztu literackiego. Oprócz opinii specjalistów na temat utworu A. Mickiewicza warto odpowiedzieć sobie na pytanie, czym dla młodych XXI wieku jest lektura...

0 odpowiada - 0 ogląda - 0 rozwiązań

Dodaj zadanie

Zobacz więcej opcji