Treść zadania

pakos137

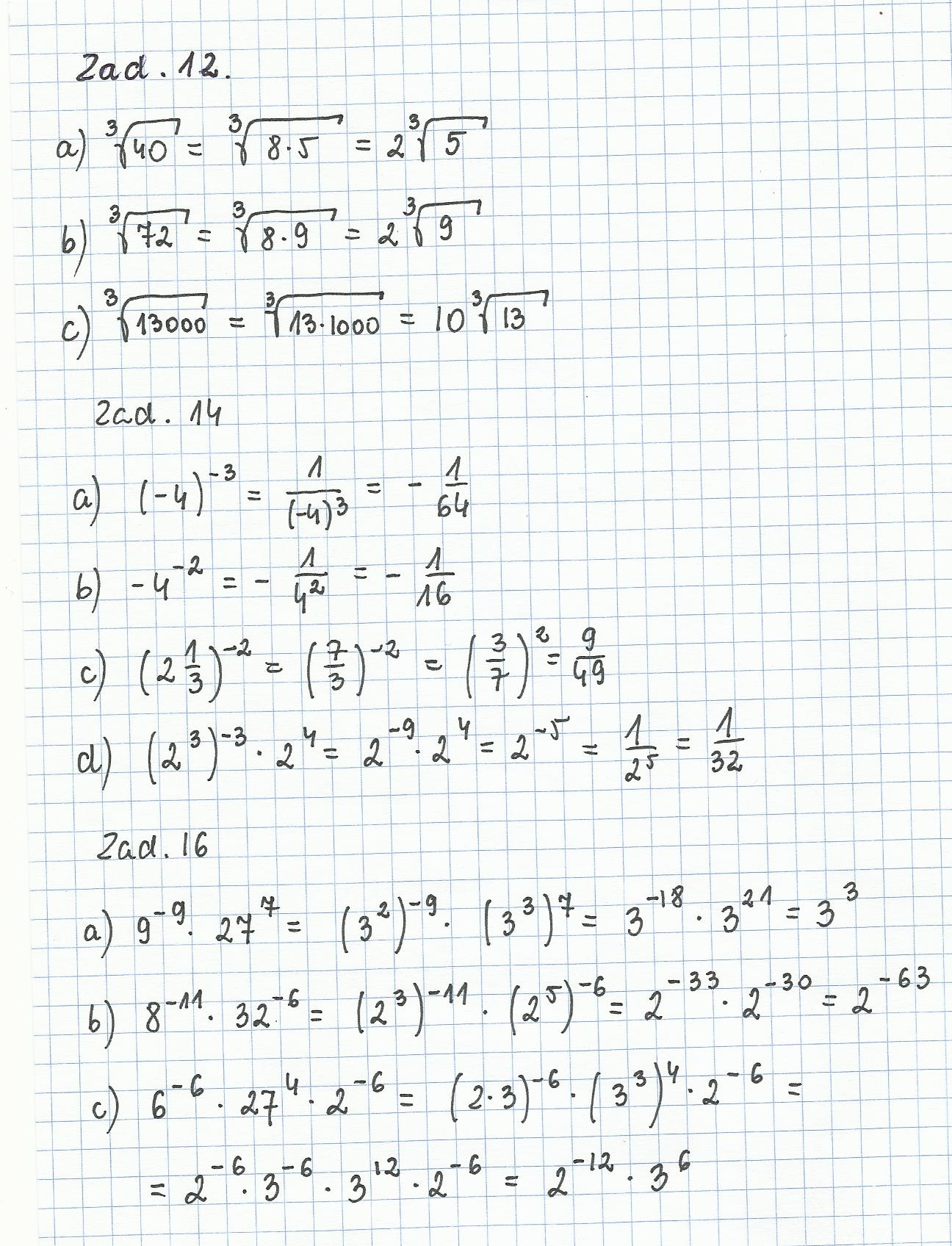
Proszę o rozwiązanie zadań 12,14,16

Załączniki do zadania

Zadanie jest zamknięte. Autor zadania wybrał już najlepsze rozwiązanie lub straciło ono ważność.

Najlepsze rozwiązanie

Rozwiązania

Podobne zadania

anitkaa1593 na jutro prosz o pomoc Przedmiot: Matematyka / Liceum 1 rozwiązanie autor: anitkaa1593 8.9.2010 (20:15)
czop12 proporcja prosta i odwrotna zada.1 mateusz codziennie przepływa 15 długosci Przedmiot: Matematyka / Liceum 1 rozwiązanie autor: czop12 22.11.2010 (19:11)
niusia1992 :Pmatma prosz:P Przedmiot: Matematyka / Liceum 1 rozwiązanie autor: niusia1992 19.5.2011 (16:43)
bradzia Witam,gorąco proszę o pomoc w zada.z matematyki -------------> Wielokąt Przedmiot: Matematyka / Liceum 1 rozwiązanie autor: bradzia 13.3.2012 (16:49)
bradzia Proszę o pomoc w zada.z matematyki : W firmie Komin pracuje łącznie z szefem Przedmiot: Matematyka / Liceum 1 rozwiązanie autor: bradzia 13.3.2012 (16:51)

0 odpowiada - 0 ogląda - 1 rozwiązań

Dodaj zadanie

Zobacz więcej opcji