Treść zadania
Autor: ~Grzesiek Dodano: 14.3.2013 (16:13)
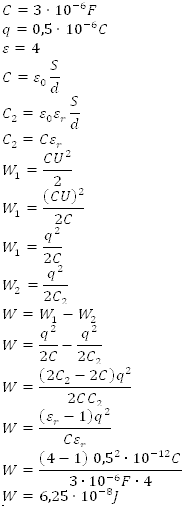
Miedzy okładkami kondensatora płaskiego o pojemności C=5μFi naładowanego ładunkiem q= 0.5* 10^-6 C znajduje sie płytka dielektryczna o względnej przenikalności ε=4, która całkowicie wyplenia przestrzeń miedzy okładkami. Jaka prace W należy wykonać, aby usunąć płytkę z kondensatora?
Zadanie jest zamknięte. Autor zadania wybrał już najlepsze rozwiązanie lub straciło ono ważność.
Rozwiązania
Podobne zadania
|
|
1 rozwiązanie | autor: petunia 25.9.2010 (14:47) |
|
|
1 rozwiązanie | autor: Agonti 27.9.2010 (11:44) |
|
|
1 rozwiązanie | autor: semiramea 7.11.2010 (13:47) |
|
|
1 rozwiązanie | autor: sylwus29 12.3.2011 (13:44) |
|
|
1 rozwiązanie | autor: ika81 14.3.2011 (21:12) |
Podobne materiały
Przydatność 50% Hydrometalurgia miedzi
Hydrometalurgia miedzi Termin hydrometalurgia oznacza otrzymywanie metali w wyniku elektrolizy wodnych roztworów ich soli. Proces ten składa się z następujących etapów: • ługowania rudy poddanej ewentualnie wstępnemu prażeniu w atmosferze powietrza, w celu przeprowadzenia trudno rozpuszczalnych siarczków metali w tlenki • oczyszczania otrzymanego roztworu w celu zapewnienia...
Przydatność 65% Odkrycie złoża miedzi
ODKRYCIE ZLOŻA MIEDZI Podobnie jak wiele dziedzin życia gospodarczego naszego kraju, również polska geologia w początkach PRL-u od 1945 roku do 1970 roku dokonała wielkich osiągnięć. Trudno wyliczyć wszystkie działy, w których osiągnięcia w zakresie geologii bardzo wydatnie wpłynęły na szybkie uprzemysłowienie kraju. Szczególnie cennym rezultatem intensywnych badań i...
Przydatność 65% Charakterystyka technologii produkcji miedzi i aluminium
Oprócz stopów żelaza poważne zastosowanie w przemyśle i całej gospodarce znajdują metale nieżelazne i ich stopy. Ze względu na ich własności trudno je zastąpić innymi tworzywami konstrukcyjnymi. Szczególne zastosowanie znajdują w przemyśle maszynowym, chemicznym, precyzyjnym, elektrotechnicznym i elektronice i w wielu zastosowaniach specjalnych. Jednak w przyrodzie, z...
Przydatność 55% Stosunki antagonistyczne miedzy populacjami w przyrodzie
W załączniku prezentacja w PowerPoint'cie (PPS) o stosunkach antagonistycznych miedzy populacjami w przyrodzie.
Przydatność 70% Jaki jest związek miedzy stylem kierowania, a organizacją pracy menedżera?
Menedżer jest centralną osobą w firmie, wokół niego wszystko się „kręci”, on wydaje polecenia, kontroluje, wynagradza, zatrudnia, zwalnia, daje podwyżkę czy inwestuje. Biorąc pod uwagę w/w funkcje, można dojść do słusznego wniosku, że osobowość menedżera jest równie ważna jak kapitał przedsiębiorstwa. Menadżerów nie można podzielić na dobrych i złych, ponieważ...
0 odpowiada - 0 ogląda - 1 rozwiązań
0 0
nexus1995 21.3.2013 (20:58)
napisałem w załączniku, jak należy rozwiązać zadanie. Mam nadzieję, że pomogłem
Załączniki
Dodawanie komentarzy zablokowane - Zgłoś nadużycie