Treść zadania

grabarka138

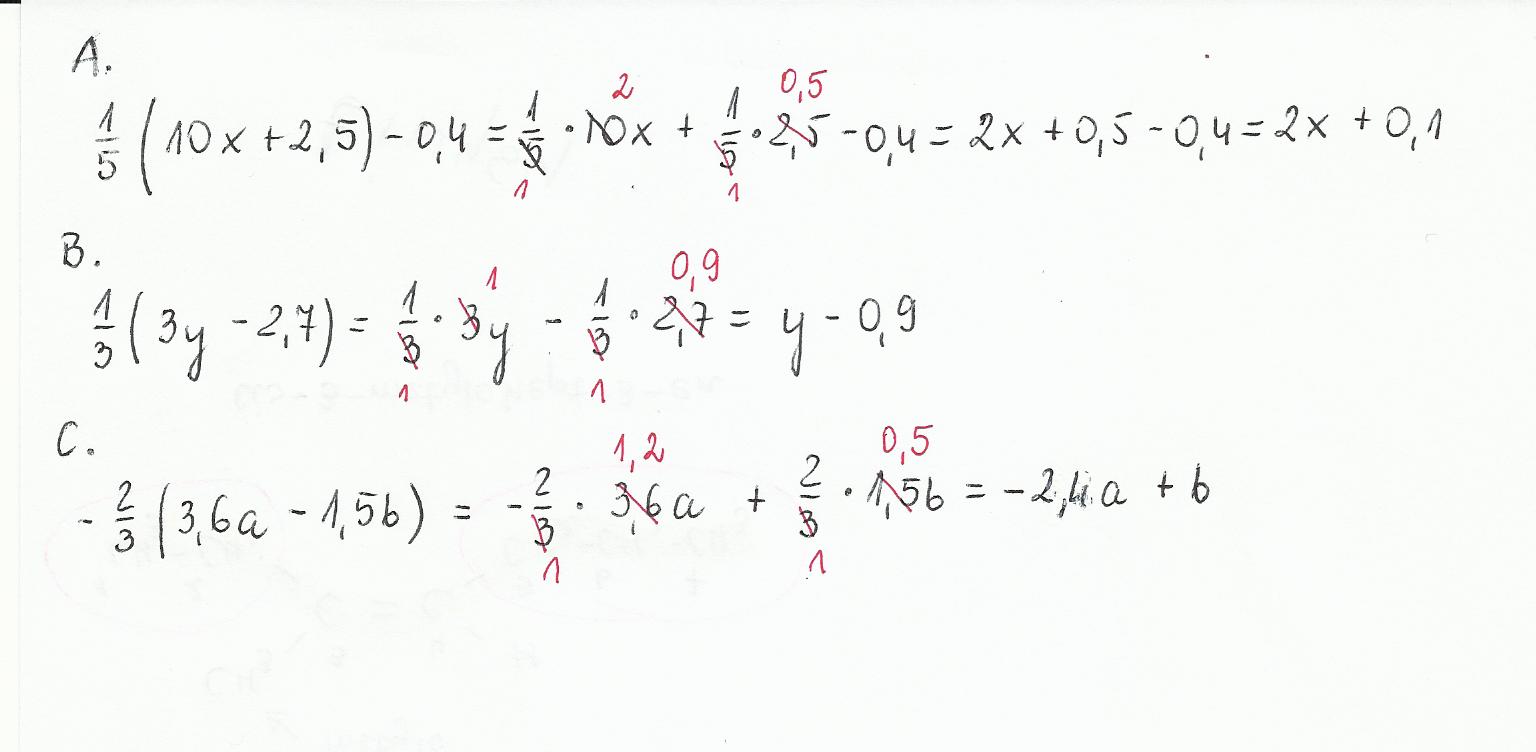
Wykonaj działania
A.1/5(10x+2,5)-0,4
B.1/3(3y-2,7)
C.-2/3(3,6a-1,5b)

Zadanie jest zamknięte. Autor zadania wybrał już najlepsze rozwiązanie lub straciło ono ważność.

Najlepsze rozwiązanie

Rozwiązania

Podobne zadania

jagoda9407 Wykonaj działania na sumach algebraicznych a następnie oblicz wartość Przedmiot: Matematyka / Gimnazjum 2 rozwiązania autor: jagoda9407 22.4.2010 (19:47)
werakonie Wykonaj działania. a) 6(x-4)-2 b) 2(x+1)-3(x-1) c) -3(y-2)+4(y+2) d) Przedmiot: Matematyka / Gimnazjum 5 rozwiązań autor: werakonie 29.8.2010 (18:00)
ola1997 wykonaj działanie: a) (5\6+1\3):(2 2\3-1,75) b) Przedmiot: Matematyka / Gimnazjum 1 rozwiązanie autor: ola1997 9.9.2010 (16:04)
xoxListeKxox Wykonaj działania-Prosze o pomoc:) Przedmiot: Matematyka / Gimnazjum 2 rozwiązania autor: xoxListeKxox 9.9.2010 (20:59)
paulina0002224 wykonaj dzialania : Przedmiot: Matematyka / Gimnazjum 1 rozwiązanie autor: paulina0002224 13.9.2010 (19:25)

Podobne materiały

Przydatność 60% Wykonaj opis sytuacji będąc Jagienką - polowanie na niedźwiedzia.

Jest późne popołudnie. Wchodzę do lasu, gdyż wiem, że gdzieś tutaj jest sam Zbyszko. Mam zamiar pomóc w polowaniu na niedźwiedzia. W lesie panuje dziwna atmosfera, trudno ją określić. Moja stopa, którą stawiam na ziemi, łamie coś co przypomina zwierzęcą kość. Słońce zaczyna zachodzić, gdyż robi się czerwone. Nad moją głową latają kruki, które kraczą złowieszczo....

Przydatność 50% Wykonaj gazetke z wydarzeniami z lat 1918 do 1939 - referat

Wszystko zamieszczone w zalacznikach na poczatku jako pierwsza str powinien isc dok. o tyt. okladka, potem strona z trescia, nastepnie gazeta coroczna (oczywiscie tytul gazety jest inny) i na koncu dok o tyt. zdjecia na referat hist

Przydatność 80% Wykonaj zestawienie dochodów i wydatków swojej gminy(miasta)

Podobnie jak każde gospodarstwo domowe, tak i Miasto Gdynia wydaje pieniądze na różne cele. W gospodarstwie domowym wydajemy pieniądze według reguł, które sami ustalamy i oczywiście w zależności od posiadanych środków. Z reguły najwięcej przeznaczamy na życie, czyli na żywność i bieżące opłaty tj. czynsz, energię, telefon, abonament radiowo-telewizyjny, ubezpieczenie,...

0 odpowiada - 0 ogląda - 1 rozwiązań

Dodaj zadanie

Zobacz więcej opcji