Treść zadania

bialy517948

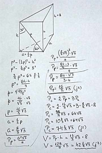
Oblicz v i pc graniastosłupa prawidlowego trójkatnego wiedzac ze wysokosc tego graniastoslupa ma 8 a kąt nachylenia przekatnej sciany bocznej do plaszczyzny podstawy ma miare 60 stopni

Zadanie jest zamknięte. Autor zadania wybrał już najlepsze rozwiązanie lub straciło ono ważność.

Rozwiązania

Podobne zadania

martusb93 oblicz: (tg30-ctg30)/cos30 Przedmiot: Matematyka / Liceum 2 rozwiązania autor: martusb93 29.3.2010 (18:20)
olo oblicz objętość i pole powierzchni stożka o promieniu podstawy r,jeżeli Przedmiot: Matematyka / Liceum 1 rozwiązanie autor: olo 30.3.2010 (18:23)
angelika1990 1)Dane są wielomiany Oblicz W(x)=x³-2x+1 W(x)+Q(x) Q(x)=-x³+3x Przedmiot: Matematyka / Liceum 1 rozwiązanie autor: angelika1990 8.4.2010 (18:05)
kotek93 oblicz miary kątów trójkąta równoramiennego, w którym: a)kąt przy Przedmiot: Matematyka / Liceum 1 rozwiązanie autor: kotek93 12.4.2010 (17:04)
gumis Oblicz długość boku trójkąta równobocznego, którego wysokość ma Przedmiot: Matematyka / Liceum 1 rozwiązanie autor: gumis 12.4.2010 (18:37)

Podobne materiały

Przydatność 65% Oblicze Ojczyzny

(praca z 1 klasy gima) słowa w wierszu "*** (oblicze ojczyzny)" Tadeusza Różewicza "na początku ojczyzna jest blisko, na wyciągnięcie ręki" oznaczają, że gdy jesteśmy jeszcze mali ojczyzna to rodzice, koledzy i koleżanki, to nasz dom, nasze podwórko. ważniejsze jest wtedy dla nas to, że koleżance zaginął kot, a nie że wielu ludzi nie ma pracy i nie ma za co wyżywić...

Przydatność 55% wiersz Oblicze ojczyzny

Czytając wiersz Tadeusz Różewicza pt.Oblicze ojczyzny odnoszę wrażenie,iż poeta miał szczęśliwe dzieciństwo,chociaż lata w których przyszło mu dorastać nie należały do spokojnych.Wojna i okupacja nie zatarły jednak beztroskich i pełnych ciepłych barw wspomnień poety. Kiedy jest się dzieckiem,całym światem są najbliżsi: mama,tata i...

Przydatność 65% Drugie oblicze opalania

Praca w załączniku

Przydatność 85% Oblicz masę cząsteczkową kwasu siarkowodorowego.

Wzór kwasu siarkowodorowego jest taki: H2S więc trzeba pomnożyć dwa razy masę atomową wodory i dodać masę siarki 2*1u+ 32u = 2u + 32u = 34u Odp. Masa cząsteczkowa H2S wynosi 34u.

Przydatność 100% "Złowrogie oblicze świata..." – rozważania nie tylko o "Procesie" Franza Kafki.

Historia ludzkości obfituje w przykłady „piekła na ziemi”, piekła które zostało zgotowane ludziom przez innych ludzi. Czasem to piekło stawało się rzeczywistością dla jego mieszkańców. Tracili oni nadzieję na wydostanie się z niego kiedykolwiek. Co więcej, po jakimś czasie zapominali oni o istnieniu innego, normalnego świata. Cały aparat utrzymujący piekło doprowadzał...

0 odpowiada - 0 ogląda - 1 rozwiązań

Dodaj zadanie

Zobacz więcej opcji