Treść zadania
Autor: Cukier18 Dodano: 21.2.2013 (13:48)
zad.1
Wyznacz równanie symetralnej odcinka o końcach;
A(-3,4) , B(2,2).
Zad.2
Wyznacz równanie prostej prostopadłej do prostej o równaniu
6x+3y-4=0 przechodzącej przez punkt K(-4,2)
Zad.3
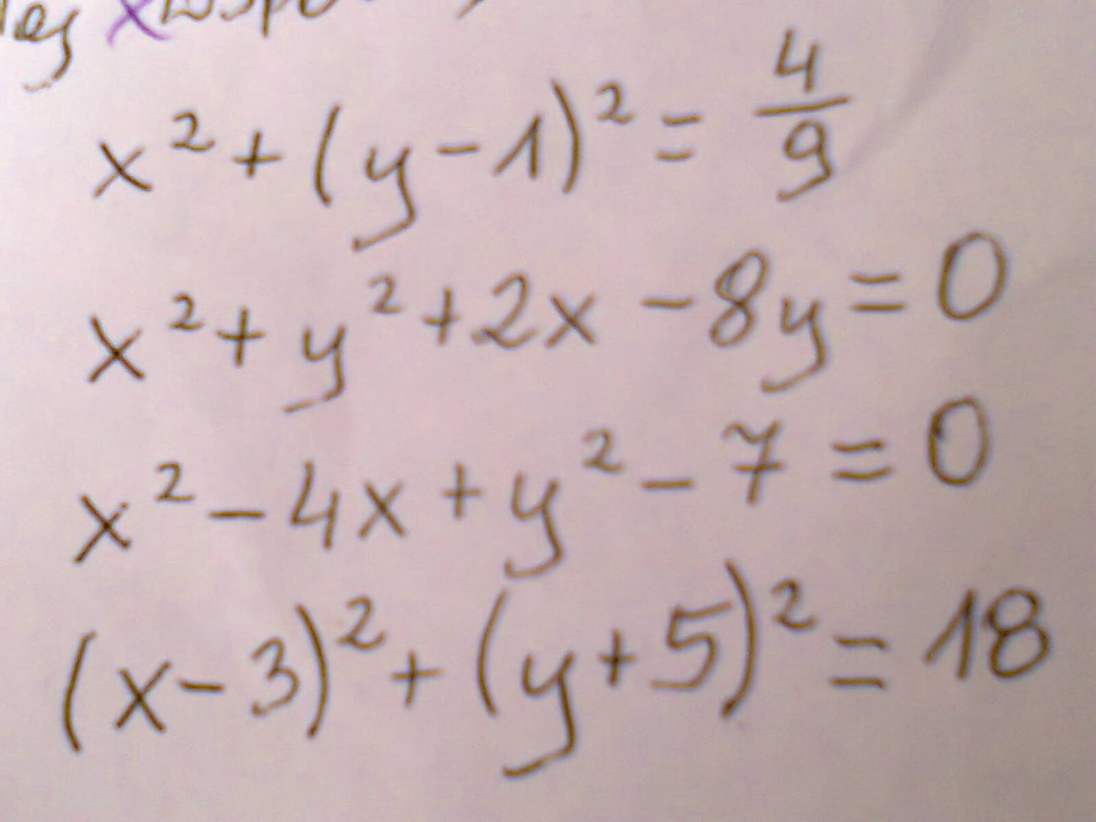
Podaj współrzędne środka i promień okręgu jesli;
Zadanie jest zamknięte. Autor zadania wybrał już najlepsze rozwiązanie lub straciło ono ważność.
Rozwiązania
Podobne zadania
|
|
1 rozwiązanie | autor: aluszacedro 12.4.2010 (15:17) |
|
|
2 rozwiązania | autor: angie21 14.6.2010 (12:08) |
|
|
1 rozwiązanie | autor: Turcio93 5.10.2010 (17:22) |
|
|
2 rozwiązania | autor: monika65 1.11.2010 (00:12) |
|
|
1 rozwiązanie | autor: SeulVotre 30.11.2010 (20:51) |
Podobne materiały
Przydatność 65% Wykorzystanie istniejącego odcinka sieci kolei wąskotorowej w celu przerzucenia części obciążenia transportu drogowego na transport kolejowy
Praca napisana w pośpiechu, ale kto wie - moze komuś się przyda. Proszę zajrzeć do załącznika.
0 odpowiada - 0 ogląda - 1 rozwiązań
0 0
antekL1 21.2.2013 (16:27)
Czytaj ^2 jako "do kwadratu"
Zad. 1.
Symetralna jest to zbiór punktów (x,y) równo oddalonych od końców odcinka AB.
Porównajmy kwadraty tych odległości:
Kwadrat odległość punktu (x,y) od punktu A wynosi (x - (-3))^2 + (y - 4)^2
Kwadrat odległość punktu (x,y) od punktu B wynosi (x - 2)^2 + (y - 2)^2
z równości kwadratów odległości wynika:
(x + 3)^2 + (y - 4)^2 = (x - 2)^2 + (y - 2)^2 ; wymnażamy wszystkie nawiasy
x^2 + 6x + 9 + y^2 -8y + 16 = x^2 -4x + 4 + y^2 -4y + 4 ; skracamy kwadraty
6x + 9 -8y + 16 = -4x + 4 -4y + 4 ; przenosimy wszystko na lewą stronę i porządkujemy:
10x - 4y + 17 <------ to jest równanie szukanej symetralnej.
======================
Zad. 2.
Prosta prostopadła do danej ma zamienione miejscami współczynniki przy x, y
poza tym jeden z tych współczynników trzeba wpisać z przeciwnym znakiem.
Prostopadła ma postać:
-3x + 6y + C = 0
Stałą 'C' znajdziemy, podstawiając w miejsce x, y współrzędne punktu K
-3 * (-4) + 6 * 2 + C = 0
24 + C = 0
C = -24
Szukane równanie: -3x + 6y - 24 = 0; dzielimy jeszcze przez 3: -x + 2y - 8 = 0
======================
3.
Jeżeli równanie okręgu ma postać: (x - x0)^2 + (y - y0)^2 = r^2
to środek leży w punkcie (x0, y0) [ zwróć uwagę na znaki we wzorze na okrąg! ]
x^2 + (y - 1)^2 = 4/9 ; mamy x0 = 0 oraz y0 = 1. Środek to S(0, 1)
-------------
x^2 + 2x + y^2 - 8y = 0
Jeżeli nie mamy postaci (x - x0)^2 itd, to trzeba ją zrobić.
W tym celu do wyrażenia x^2 + 2x dodajemy i odejmujemy połowę współczynnika przy x w kwadracie czyli:
x^2 + 2x = x^2 + 2x + 1 - 1
Teraz część "x^2 + 2x + 1" stanowi pełny kwadrat (x + 1)^2 czyli
x^2 + 2x = (x + 1)^2 - 1
To samo robimy z 'y'
y^2 - 8y = (y - 4)^2 - 16
Równanie z zadania przechodzi w:
(x + 1)^2 - 1 + (y - 4)^2 - 16 = 0 ; przenosimy wyrazy poza nawiasami na prawo:
(x + 1)^2 + (y - 4)^2 = 17 ; i mamy standardowe równanie okręgu.
x0 = -1 oraz y0 = 4. Środek to S(-1, 4)
------------
x^2 - 4x + y^2 - 7 = 0
Z x robimy to, co powyżej, z y nic nie trzeba robić, bo nie ma wyrażenia z 'y'
(x - 2)^2 - 4 + y^2 - 7 = 0
(x - 2)^2 + y^2 = 11
x0 = 2 oraz y0 = 0. Środek to S(2, 0)
------------
(x - 3)^2 + (y + 5)^2 = 18 ; to jest normalne równanie okręgu
x0 = 3 oraz y0 = -5. Środek to S(3, -5)
======================
Dodawanie komentarzy zablokowane - Zgłoś nadużycie