Treść zadania

gck

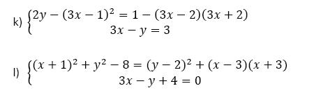
uklady rownan 2

Załączniki do zadania

Zadanie jest zamknięte. Autor zadania wybrał już najlepsze rozwiązanie lub straciło ono ważność.

Najlepsze rozwiązanie

Rozwiązania

Podobne zadania

maziczek uk.rownan Przedmiot: Matematyka / Liceum 1 rozwiązanie autor: maziczek 13.5.2010 (14:11)
gabrielka25 wyznacz x z podanych rownan: a)bx-c=ax+b/c,gdy c różni sie od Przedmiot: Matematyka / Liceum 1 rozwiązanie autor: gabrielka25 27.9.2010 (18:44)
bedezawszesoba rozwiaz uklad rownan metoda podstawiania x-y=8 x+2y=23 Przedmiot: Matematyka / Liceum 4 rozwiązania autor: bedezawszesoba 25.10.2010 (20:51)
bedezawszesoba rozwiaz ulkad rownan metodagraficzna x +2y=2 -x-2=2 Przedmiot: Matematyka / Liceum 2 rozwiązania autor: bedezawszesoba 25.10.2010 (20:55)
petunia Rozwiaz graficznie uklad rownan { 2x-y=3 x+2y=4 Przedmiot: Matematyka / Liceum 3 rozwiązania autor: petunia 12.11.2010 (16:28)

0 odpowiada - 0 ogląda - 1 rozwiązań

Dodaj zadanie

Zobacz więcej opcji