Komentarze do zadania
-
antekL1 12.2.2013 (13:13)
Może podziel to na 2, a najlepiej na 3 porcje - trochę dużo jak na 1 raz...
Więcej osób rozwiąże przykłady równolegle.
Zadanie jest zamknięte. Autor zadania wybrał już najlepsze rozwiązanie lub straciło ono ważność.
Rozwiązania
0 odpowiada - 0 ogląda - 1 rozwiązań
0 0
banpioszy 12.2.2013 (15:19)
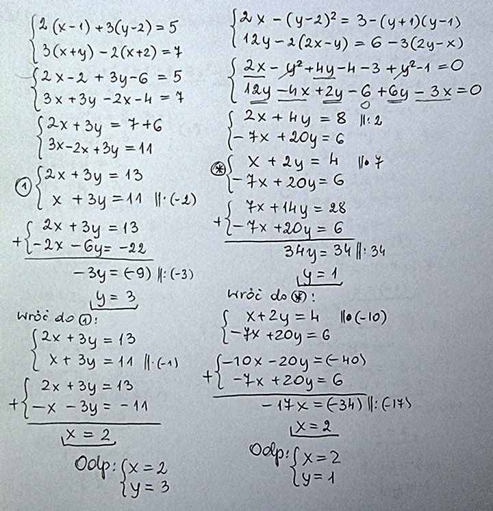
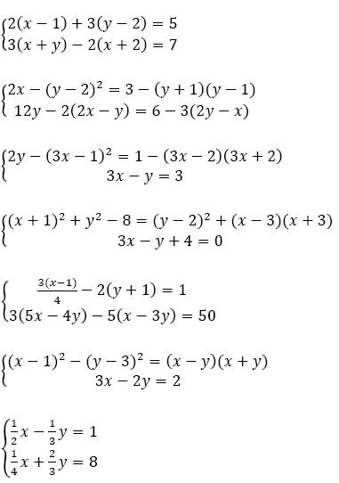
w załącznikach komplet j.w.
Załączniki
Dodawanie komentarzy zablokowane - Zgłoś nadużycie