Treść zadania

Sailor_Moon

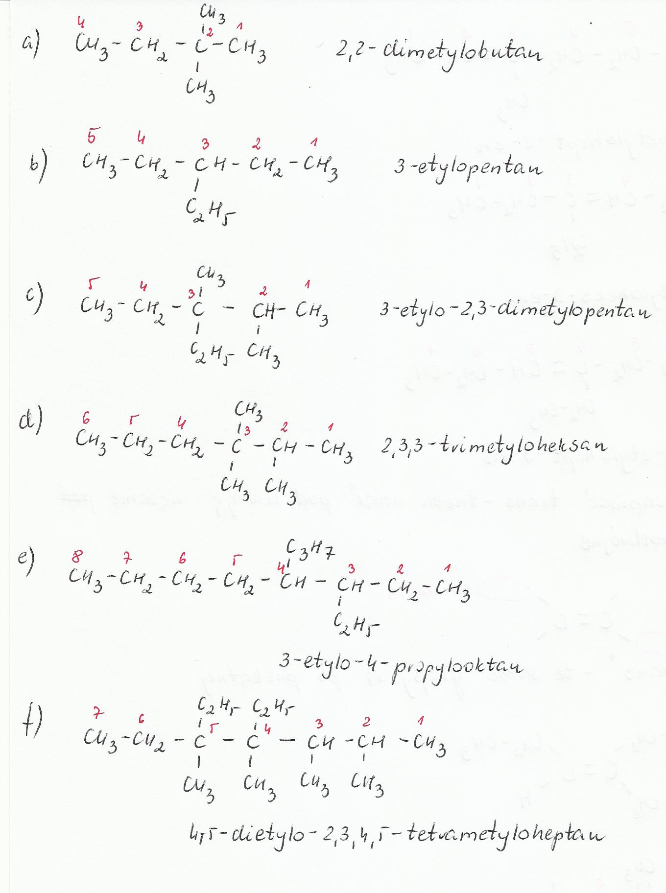
CHEMIA ORGANICZNA 1

Załączniki do zadania

Zadanie jest zamknięte. Autor zadania wybrał już najlepsze rozwiązanie lub straciło ono ważność.

Najlepsze rozwiązanie

Rozwiązania

Podobne zadania

zania344 Chemia na już ;/ Przedmiot: Chemia / Studia 1 rozwiązanie autor: zania344 18.5.2010 (00:11)
zania344 ;/ chemia ;/ Przedmiot: Chemia / Studia 1 rozwiązanie autor: zania344 18.5.2010 (00:12)
asiaaczek22 witaminy stosowane w kosmetyce.... pomocy głupia chemia Przedmiot: Chemia / Studia 1 rozwiązanie autor: asiaaczek22 2.10.2010 (20:56)
UNIHEHE CHEMIA - BARDZO PROSZĘ O POMOC - PILNE Przedmiot: Chemia / Studia 2 rozwiązania autor: UNIHEHE 26.5.2011 (22:47)
maoliwka05310 chemia Przedmiot: Chemia / Studia 1 rozwiązanie autor: maoliwka05310 7.6.2011 (09:03)

Podobne materiały

Przydatność 65% Chemia organiczna - chemia związków węgla

1. Wspólną cechą związków organicznych jest obecność węgla w ich cząsteczkach jako podstawowego pierwiastka chemicznego. Węgiel w związkach org jest zawsze 4 wartościowy 2. Układ atomów węgla w cząsteczce związku chem oraz z ich wiązaniami nazywamy szkieletem węglowym Atomy węgla mają zdolność łączenia się tworząc różnorodne struktury: łańcuchy proste,...

Przydatność 70% Chemia organiczna- związki organiczne

Alkany CnH2n+2: CH4 - metan / C2H6 - etan / C3H8 - propan / C4H10 - butan / C5H12 - pentan / C6H14 - heksan Alkeny CnH2n: C2H4 - eten (etylen) / C3H6 - propen / C4H8 - buten / C5H10 - penten / C6H12 - heksen Alki(y)ny CnH2n-2: C2H2 - etin (acetylen) / C3H4 - propin / C4H6 - butin / C5H8 - pentin / C6H10 - heksin Alkohole CnH2n+1OH: CH3OH - metanol / C2H5OH - etanol / C3H7OH -...

Przydatność 50% Chemia organiczna część 1 - Laboratorium

SPIS TREŚCI: 1. Krystalizacja 1 2. Destylacja 6 3. Dibenzylidenoaceton 9 4. Cykloheksanon 10 5. Rozdział mieszanin przez ekstrakcję. Destylacja pod zmniejszonym ciśnieniem 11 6. Chromatografia kolumnowa i cienkowarstwowa 13 7. Chlorek tert – butylu (2 – chloro – 2 metylopropan) 16 8. Mrówczan etylu 18 9. p – Acetylotoluidyna (N – acetylo – p –...

Przydatność 50% Chemia

Atom węgla o hybrydyzacji sp2 dysponuje trzema orbitalami zhybrydyzowanymi, które leżą na jednej płaszczyźnie (XY), kąt pomiędzy nimi wynosi 120o. Czwarty orbital atomu węgla pozostaje niezhybrydyzowany i jest prostopadły do płaszczyzny w której leżą orbitale zhybrydyzowane: Orbitale 2s i 2p atomu węgla, stan podstawowy orbitale zhybrydyzowane atomu węgla, oraz...

Przydatność 50% PRACA ORGANICZNA

Praca organiczna


Sytuacja panująca na ziemiach polskich w okresie między klęską powstania listopadonej. a Wiosną Ludów nie sprzyjała tworzeniu programów ugody politycz Leo Pozostawały więc możliwości pracy organicznej. Termin ten zaczął być szerzej używany w latach czterdziestych XIX w. i oznaczał działania legalne w takich dziedzinach, jak gospodarka, oświata,...

0 odpowiada - 0 ogląda - 1 rozwiązań

Dodaj zadanie

Zobacz więcej opcji