Treść zadania
Autor: janeczka_06 Dodano: 6.2.2013 (11:35)
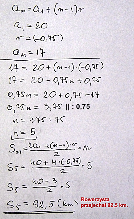
Rowerzysta w ciągu pierwszej godziny przejechał 20 km, a w ciągu każdej następnej godziny odcinek o 0,75 km krótszy od poprzedniego. Jaką drogę pokonał rowerzysta jeśli w ciągu ostatniej godziny przejechał 17 km?
Zadanie jest zamknięte. Autor zadania wybrał już najlepsze rozwiązanie lub straciło ono ważność.
Rozwiązania
Podobne zadania
|
|
1 rozwiązanie | autor: Xiezniczka 22.9.2010 (19:21) |
|
|
1 rozwiązanie | autor: gosia22899 14.10.2010 (15:05) |
|
|
1 rozwiązanie | autor: basiex2 29.11.2010 (22:09) |
|
|
2 rozwiązania | autor: Asiaax31 15.12.2010 (17:07) |
|
|
2 rozwiązania | autor: sandrulla09 20.12.2010 (20:58) |
Podobne materiały
Przydatność 70% Felieton - "Czynne do godziny dziesiątej".
W dzisiejszych czasach wszyscy pędzą przed siebie i nie mają na nic czasu. Podobnie jest z nami, uczniami. Wciąż zabiegani, z głowami w zeszytach, bo a to klasówka, a to odpy-tywanie. Nikt z nas nie ma już czasu na tak kiedyś popularną rozrywkę, jaką było czytanie książek. Nie czytamy już nawet lektur szkolnych, bo przecież są ich ekranizacje. Z tego po-wodu zaciekawiło mnie...
Przydatność 70% Typowy dzień w skrócie, godziny,
1). Typowy dzień Wersja po polsku Wstaję o godzinie 7. o 7:30 jem śniadanie. Potem myję zęby i twarz. O godz. 8 wychodzę do pracy. O 17 kończę pracę. O 17:30 jem obiad. O 18 oglądam TV. Kolację jem o godz. 20. o 21 biorę prysznic. O godz. 23 zasypiam. Wersja angielska I wake up at seven o’clock. At half-past seven I eat my breakfast. Then I brush my teeth and wash my face. At...
Przydatność 50% Słówka: rodzina, zajęcia, godziny, dni tygodnia, jedzenie
wszystko w załączniku :)
Przydatność 85% Pięciodniowy tydzień pracy a godziny nadliczbowe.
Pięciodniowy tydzień pracy a godziny nadliczbowe. Czasem pracy jest czas, w którym pracownik pozostaje w dyspozycji pracodawcy. Zasadą w prawie pracy, obowiązującą od 1 maja 2001 roku, jest pięciodniowy tydzień pracy - art. 129 1 Kodeksu pracy. Dokładnie przepis ten stanowi, że czas pracy nie może przekraczać 8 godzin na dobę i przeciętnie...
Przydatność 75% Apteczka pierwszej pomocy
APTECZKA PIERWSZEJ POMOCY Apteczka pierwszej pomocy jest zestawem leków , środków opatrunkowych, a także niektórych przyborów i narzędzi lekarskich. Umieszczona w odpowiednim miejscu. Powinna być umieszczona w szafce lub odpowiedniej walizeczce oznakowanej czerwonym krzyżem. Apteczkę musi znajdować się w miejscu łatwo osiągalnym, ale niedostępnym dla dzieci. Powinna zawierać...
0 odpowiada - 0 ogląda - 1 rozwiązań
0 0
banpioszy 6.2.2013 (12:29)
w załączniku
Załączniki
Dodawanie komentarzy zablokowane - Zgłoś nadużycie