Treść zadania
Autor: zimny998 Dodano: 30.1.2013 (10:19)
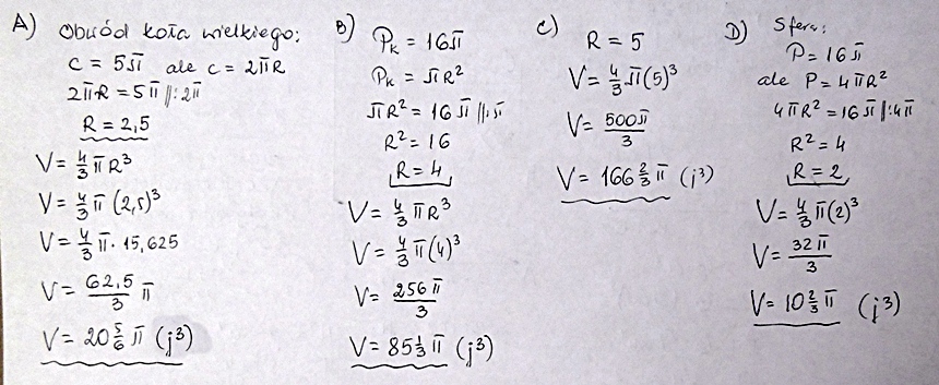
oblicz objętość kuli mając dane ; A) obwód koła wielkiego=5 pi B) pole koła =16 pi C) promień koła =5 D) sfera= 16pi
Zadanie jest zamknięte. Autor zadania wybrał już najlepsze rozwiązanie lub straciło ono ważność.
Najlepsze rozwiązanie
Rozwiązania
Podobne zadania
|
|
2 rozwiązania | autor: anett 28.3.2010 (18:59) |
|
|
1 rozwiązanie | autor: martamika007 29.3.2010 (18:59) |
|
|
1 rozwiązanie | autor: martamika007 29.3.2010 (19:00) |
|
|
2 rozwiązania | autor: violetisavictim 30.3.2010 (16:30) |
|
|
2 rozwiązania | autor: violetisavictim 30.3.2010 (17:40) |
Podobne materiały
Przydatność 65% Oblicze Ojczyzny
(praca z 1 klasy gima) słowa w wierszu "*** (oblicze ojczyzny)" Tadeusza Różewicza "na początku ojczyzna jest blisko, na wyciągnięcie ręki" oznaczają, że gdy jesteśmy jeszcze mali ojczyzna to rodzice, koledzy i koleżanki, to nasz dom, nasze podwórko. ważniejsze jest wtedy dla nas to, że koleżance zaginął kot, a nie że wielu ludzi nie ma pracy i nie ma za co wyżywić...
Przydatność 55% wiersz Oblicze ojczyzny
Czytając wiersz Tadeusz Różewicza pt.Oblicze ojczyzny odnoszę wrażenie,iż poeta miał szczęśliwe dzieciństwo,chociaż lata w których przyszło mu dorastać nie należały do spokojnych.Wojna i okupacja nie zatarły jednak beztroskich i pełnych ciepłych barw wspomnień poety. Kiedy jest się dzieckiem,całym światem są najbliżsi: mama,tata i...
Przydatność 65% Drugie oblicze opalania
Praca w załączniku
Przydatność 60% Polska - ogółne dane
Polozenie polski na kuli ziemskiej. Polska ma szer pół. a dł wschodnia. Konsekwencje rozciaglosci poludnikowej jest roznica trwania dnia miedzy pół. a poł. Czerwca w Polsce dzien trwa 17h20min w gdyni i jest dluzszy o 1h20min Zakopanem. Konsekwencja rozciaglosci rownoleznikowej jest roznica we wschodzie slonaca, slonce wschodzi wczesniej o 40 min na wsch Polski. Czas letni wedlug...
Przydatność 60% Chorwacja - główne dane
CHORWACJA. PRZEMYSŁ. Główną rolę w gospodarce Chorwacji odgrywa przemysł przetwórczy o zróżnicowanej strukturze gałęziowej; do najważniejszych gałęzi należą: hutnictwo żelaza (Sisak) i aluminium (Lozovac, Razine), przemysł stoczn. (Rijeka, Split, Pula) oraz petrochem. (Sisak, Osijek, Split); duże znaczenie ma przemysł maszyn. (m.in. fabryki: obrabiarek — Zagrzeb, maszyn...
0 odpowiada - 0 ogląda - 1 rozwiązań
1 0
banpioszy 30.1.2013 (11:20)
w załączniku
Załączniki
Dodawanie komentarzy zablokowane - Zgłoś nadużycie