Treść zadania

asia35

proszę o rozwiązanie zadania 22 z załącznika
i z drugiego załącznika zadania 17 i 18 proszę o rozwiązanie

Załączniki do zadania

Zadanie jest zamknięte. Autor zadania wybrał już najlepsze rozwiązanie lub straciło ono ważność.

Najlepsze rozwiązanie

  • 4 0

    Zad.17
    artykuły spozywcze - 40%
    łącznie - x

    40%*x = 600 zł
    0,4 * x = 600zł / : 0,4
    x = 1500zł

    A - prawda

    30% * 1500zł = 0,3 * 1500zł= 450zł na samochód

    B - fałsz

    zad.18

    0,123* 10^5 = 12300 odp. C

    0,123 * 10^-5 =0,00000123 odp. B

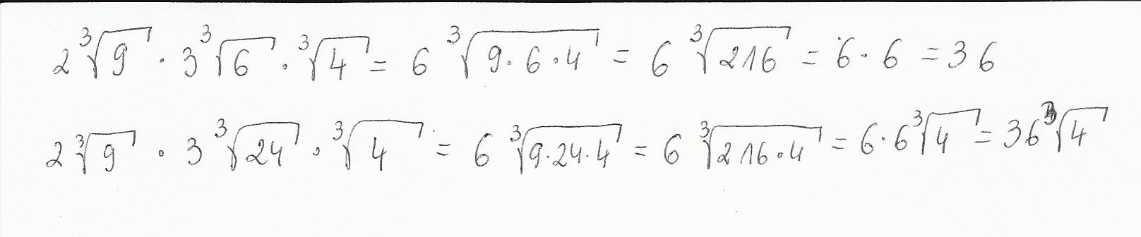
    zad.22

    I - C

    II - A

    rozwiązanie w załączniku...

    Załączniki

Rozwiązania

Podobne zadania

marla zadania Przedmiot: Matematyka / Gimnazjum 5 rozwiązań autor: marla 26.3.2010 (19:56)
basia0501 Proszę o pomoc!!! Oto tekst zadania: Do podanych równań ułóż tekst zadań: Przedmiot: Matematyka / Gimnazjum 1 rozwiązanie autor: basia0501 30.3.2010 (21:19)
uczennica0638 zadania różne Przedmiot: Matematyka / Gimnazjum 1 rozwiązanie autor: uczennica0638 6.4.2010 (12:05)
sylwaczek Rozwiaz zadania Przedmiot: Matematyka / Gimnazjum 1 rozwiązanie autor: sylwaczek 6.4.2010 (17:37)
kamiluskaxd zadania z ułamkami i niewiadomymi Przedmiot: Matematyka / Gimnazjum 1 rozwiązanie autor: kamiluskaxd 7.4.2010 (13:28)

Podobne materiały

Przydatność 55% Człowiek potrzebuje drugiego człowieka - rozprawka

Wszyscy dobrze wiemy, że na świecie żyją ludzie samotni potrzebujący przyjaciół. Są też tacy, którzy dobrowolnie skazali się na życie w odosobnieniu. Powszechnie uważa się ich za pomylonych. Osobiście uważam, że izolowanie się od społeczeństwa jest jak śmierć za życia. Myślę że, człowiek nie może żyć bez drugiego człowieka dlatego, że naszym naturalnym...

Przydatność 100% Estetyczna strona okłamywania drugiego człowieka”

Temat: „Estetyczna strona okłamywania drugiego człowieka” Czy kłamstwo może spełniać rolę pozytywną? Powszechnie uważa się, że kłamstwo to świadome mówienie nieprawdy celem wprowadzenia w błąd dla własnej korzyści. Utwór który znakomicie oddaje pozytywne znaczenie tego słowa to nowela Bolesława Prusa pod tytułem „Kamizelka” . Osią kompozycyjną...

Przydatność 50% Przyimki wymagające użycia drugiego przypadka

Przyimków łączących się z drugim przypadkiem jest niedużo. Są to: 1. an(statt)-zamiast 2.trotz-mimo 3. wahrend-podczas 4. wegen- z powodu Rzeczowniki stojące po tych przyimkach przybierają formę drugiego przyimka. Przykłady: Erika fuhr nach Munchen anstatt ihrer kranken Schwester (Monika pojechała do Monachium zamiast swojej chorej siostry) Trotz des Regens fuhren wir in...

Przydatność 50% E-mail do Jana Pawła drugiego...

To wiersz mojej koleżanki...mi się podoba ale Ona nie wierzy że pisanie wierszy naprawdę jej wychodzi...: Janie Pawle Drugi!!! Gdzie jesteś? Gdzie szukać? Nad rzeką? Nad Wisłą?...

Przydatność 55% Bankowośc zadania

POSIADAM JESZCZE INNE MATERIAŁY Z BANKOWOŚCI I NIE TYLKO

0 odpowiada - 0 ogląda - 1 rozwiązań

Dodaj zadanie

Zobacz więcej opcji