Treść zadania
Autor: pieseczek Dodano: 17.1.2013 (08:51)
Rozwiąż nierówności:
a) (2x+4)/(2x^2-x-3)≥ 1/(x+1) b) (2x+9)/(3x^2+13x-10)≤ 2/(3x-2)
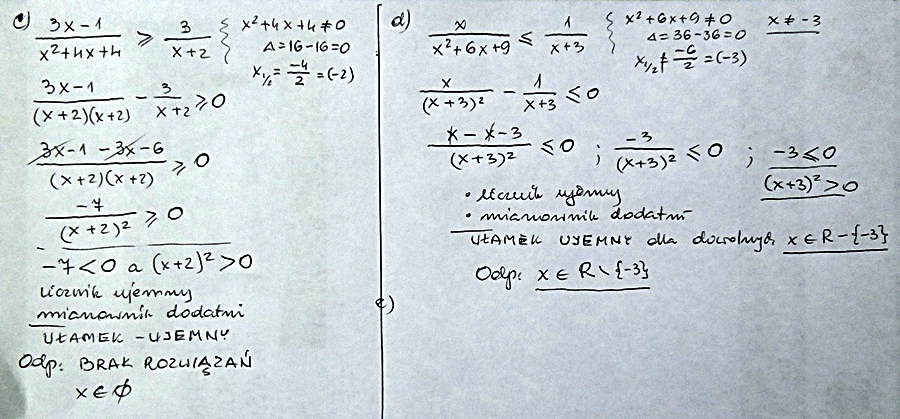
c) (3x-1)/(x^2+4x+4)≥ 3/(x+2) d) x/(x^2+6x+9)≤1/(x+3)
e) (x+5)/(x^2+10x+25)≥ 1/(x+5) f) (5x+3)/(2x^2-5x-7)≥ 5/(2x-7)
Zadanie jest zamknięte. Autor zadania wybrał już najlepsze rozwiązanie lub straciło ono ważność.
Najlepsze rozwiązanie
Rozwiązania
0 odpowiada - 0 ogląda - 1 rozwiązań
1 0
banpioszy 17.1.2013 (13:19)
rozwiązanie w załącznikach
Załączniki
Dodawanie komentarzy zablokowane - Zgłoś nadużycie