Treść zadania
Autor: maczek Dodano: 11.1.2013 (11:49)
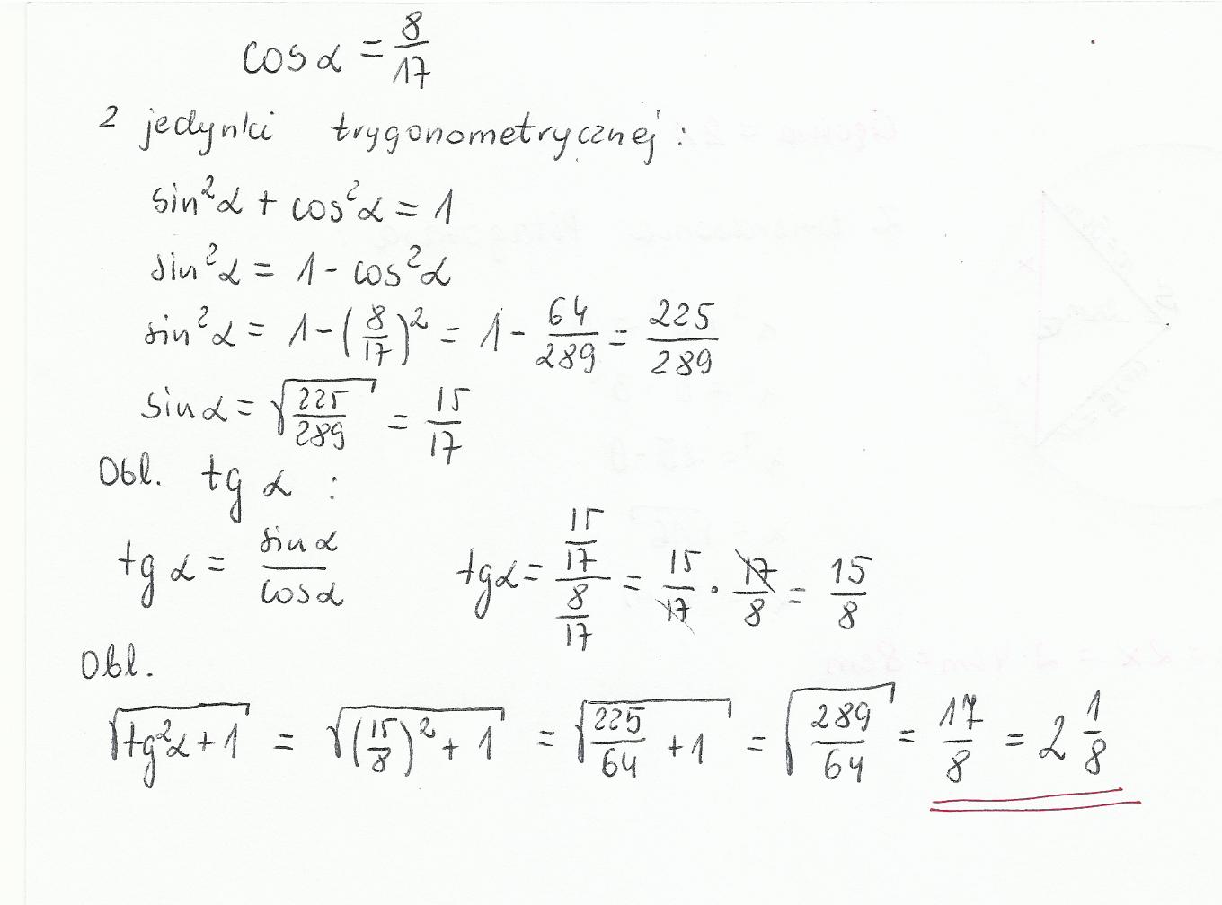
Kąt alfa jest ostry i cos alfa=8/17.Oblicz pierwiastek z tg^2alfa +1
Zadanie jest zamknięte. Autor zadania wybrał już najlepsze rozwiązanie lub straciło ono ważność.
Najlepsze rozwiązanie
Rozwiązania
Podobne zadania
|
|
1 rozwiązanie | autor: pawel 24.3.2010 (16:28) |
|
|
1 rozwiązanie | autor: urwisek4 28.3.2010 (23:44) |
|
|
2 rozwiązania | autor: MartaGrzeszczak1 29.3.2010 (17:43) |
|
|
2 rozwiązania | autor: martusb93 29.3.2010 (18:20) |
|
|
1 rozwiązanie | autor: lusi1069 30.3.2010 (16:42) |
Podobne materiały
Przydatność 70% Pierwiastek chemiczny
Pierwiastek chemiczny, zbiór atomów o tej samej liczbie atomowej. Atomy danego pierwiastka chemicznego mogą się różnić liczbą neutronów, a zatem i masą jądra. Atomy takie nazywamy izotopami danego pierwiastka. Niektóre pierwiastki chemiczne tworzą odmiany alotropowe (alotropia). Przemiany jednych pierwiastków w inne zachodzą samorzutnie w przypadku pierwiastków...
Przydatność 75% Alfa Centauri
Gwiazdozbiór Krzyża Południa (Crux) jest najbardziej charakterystycznym gwiazdozbiorem półkuli południowej. Na wschód od Krzyża Południa znajdujemy dwie jasne gwiazdy Alfa Centauri i Beta Centauri (Hadar) w Centaurze (Centaurus). Jest on rozległym gwiazdozbiorem nieba pdołudniowego. Alfa Centauri jest układem potrójnym gwiazd obiegających wspólny środek masy. W jego skład...
Przydatność 80% Magnez, pierwiastek życia
Magnez należy do pierwiastków występujących we wszystkich tkankach i płynach ustrojowych. Jest pod względem ilości czwartym składnikiem mineralnym ustroju. Z 20 do 30 gramów magnezu znajdującego się w ciele dorosłego człowieka ponad połowa znajduje się w kościach. Magnez jest niezbędny w organizmie człowieka do działania około 80 enzymów i aktywacji witaminy B1....
Przydatność 80% Lit - pierwiastek chemiczny.
„ Jestem pierwiastkiem chemicznym o liczbie atomowej 3 ” Lit Nazywam się Lit. Nazwa pochodzi od greckiego lithos – kamień. Moja nazwa angielska to Lithium. Mieszkam sobie pod wodorem, obok berylu i nad sodem. Odkrył mnie Johann Arfvedson w 1817 w Szwecji. Zostałem odkryty podczas analizy minerału krzemianowego -...
Przydatność 60% Siarka jako pierwiastek
Siarka Występowanie: Siarka występuje w przyrodzie w stanie wolnym i w postaci związanej. Tworzy liczne minerały ? głównie siarczki np. piryt, galena, blenda cynkowa i siarczany. Siarka jest też obecna w węglu kamiennym, ropie naftowej, gazie ziemnym, oraz gazach wulkanicznych i białkach organizmów żywych. Siarka tworzy odmiany alotropowe: w stanie ciekłym i stałym. W...
0 odpowiada - 0 ogląda - 1 rozwiązań
3 0
ewka13 11.1.2013 (13:11)
Rozwiązanie w załączniku...
Załączniki
Dodawanie komentarzy zablokowane - Zgłoś nadużycie