Treść zadania

Tyneczka

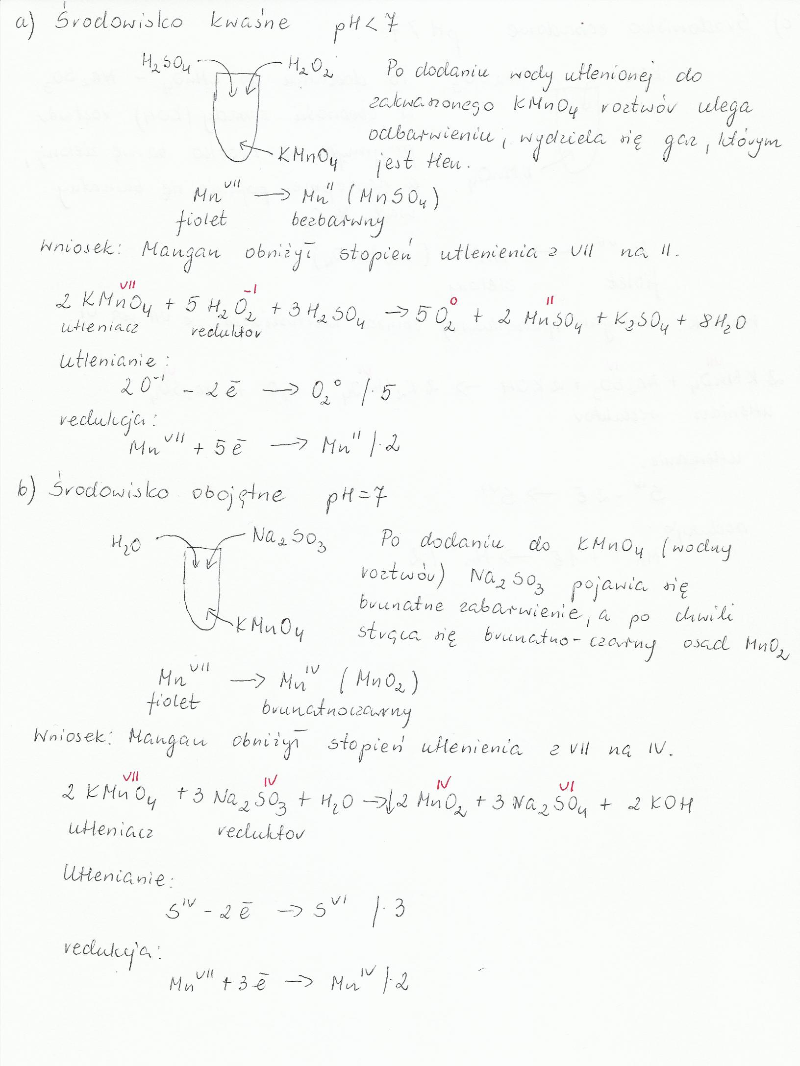
Zaprojektuj doświadczenie obrazujące przebieg redukcji jonów manganianowych(VII) w różnych środowiskach (schematyczny rysunek, opis, obserwacje i wnioski wraz z równaniami reakcji w formie cząsteczkowej i jonowej)

bardzo proszę o pomoc.. z góry dziękuje :)

Zadanie jest zamknięte. Autor zadania wybrał już najlepsze rozwiązanie lub straciło ono ważność.

Rozwiązania

Podobne zadania

Veronica_Mad Reakcje utleniania - redukcji (redoks) Przedmiot: Chemia / Liceum 1 rozwiązanie autor: Veronica_Mad 15.5.2010 (16:19)
Steel1993 Ułożyć równanie reakcji redukcji węglem podanych tlenków(Węgiel Przedmiot: Chemia / Liceum 2 rozwiązania autor: Steel1993 6.10.2010 (19:31)
Steel1993 Ułożyć równanie reakcji redukcji wodorem podanych tlenków: Cu2O, MnO2, Przedmiot: Chemia / Liceum 1 rozwiązanie autor: Steel1993 6.10.2010 (20:11)
sylwia81544 Dobierz współczynili stechiometryczne podanych reakcji utleniania i redukcji; Przedmiot: Chemia / Liceum 1 rozwiązanie autor: sylwia81544 14.10.2010 (10:30)
driver07 wyjaśnić przebieg korozji elektrochemicznej. Przedmiot: Chemia / Liceum 2 rozwiązania autor: driver07 16.10.2010 (11:11)

Podobne materiały

Przydatność 60% Procesy utlenienia i redukcji

„Zastosowanie procesów utleniania i redukcji.” 1. Utlenienie i redukcja. Reakcją utlenienia-redukcji nazywamy proces, w którym następuje wymiana elektronów między substancją utleniającą a substancją redukującą, na skutek czego atomy pierwiastków biorących udział w reakcji zmieniają swój stopień utlenienia. Utlenienie polega na oddawaniu elektronów przez atomy lub...

Przydatność 55% Reakcje utleniania i redukcji

ze względu na obecność grafiki, która jest niezbędna, praca jest w załączniku. Proszę sciągnąć.

Przydatność 60% Praktyczne znaczenie utleniania i redukcji

1. Utlenienie i redukcja. Reakcją utlenienia-redukcji nazywamy proces, w którym następuje wymiana elektronów między substancją utleniającą a substancją redukującą, na skutek czego atomy pierwiastków biorących udział w reakcji zmieniają swój stopień utlenienia. Utlenienie polega na oddawaniu elektronów przez atomy lub grupy atomów (proces dezelektronacji). Odebranie...

Przydatność 60% Zaprojektuj opakowanie i uzasadnij swój wybór.

PRODUKT: krem do depilacji PROPONOWANE OPAKOWANIE: szklany pojemnik w kształcie elipsy, z plastikową wciskową pokrywką; wewnątrz opakowania-aluminiowa folia zabezpieczająca wydostanie się kremu –usuwana podczas pierwszego użycia oraz plastikowa przykryweczka pełniąca rolę szpatułki do nakładania kremu TYP OPAKOWANIA: bezpośrednie, trwałe, uniwersalne, twarde, wieloelementowe,...

Przydatność 50% Przebieg dnia:

Gewoehnlich .........(budzić się) ich um 6.45. Ich ....... um 7 Uhr (wstawać). Ich ............. schnell (myć się,brać prysznic),..........(myć zęby) und ........ (ubierać). Dann ....... (jeść śniadanie) ich , ich ......... (brać) meine Tasche und ........(jechać do szkoły). Auf dem Schulweg ........(kupować) ich mir noch eine Zeitung. Kurz vor 8 Uhr ........(być) ich in der...

0 odpowiada - 0 ogląda - 1 rozwiązań

Dodaj zadanie

Zobacz więcej opcji