Treść zadania

Sailor_Moon

2 zadania z chemii

Załączniki do zadania

Zadanie jest zamknięte. Autor zadania wybrał już najlepsze rozwiązanie lub straciło ono ważność.

Najlepsze rozwiązanie

  • 3 0

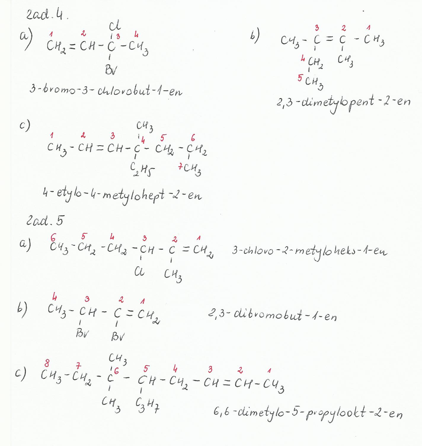
    Dla lepszego zrozumienia - ponumerowane są kolorem atomy węgla w najdłuższym łańcuchu.

    Rozwiązanie w załączniku...

    Załączniki

Rozwiązania

Podobne zadania

magdabork91 Zadania Przedmiot: Chemia / Studia 1 rozwiązanie autor: magdabork91 9.11.2010 (15:58)
magdabork91 zadania Przedmiot: Chemia / Studia 2 rozwiązania autor: magdabork91 13.11.2010 (20:12)
panteraq Podstawy Chemii - Liceum - Studia PILNE! Przedmiot: Chemia / Studia 1 rozwiązanie autor: panteraq 20.1.2011 (18:23)
Sailor_Moon Zadania z chemii Przedmiot: Chemia / Studia 1 rozwiązanie autor: Sailor_Moon 29.2.2012 (16:17)
danielus1105 BARDZO PROSZĘ O ZROBIENIE ZADANIA 4 Z ZAŁĄCZNIKA??? Przedmiot: Chemia / Studia 1 rozwiązanie autor: danielus1105 11.3.2012 (10:12)

Podobne materiały

Przydatność 50% Wpływ Chemii Na Człowieka

Wpływ Chemii na człowieka Farby poliuretanowe - produkowane są na bazie żywic poliuretanowych. Mogą być jedno- lub dwuskładnikowe. Jednoskładnikowe utwardzają się pod wpływem wilgoci z powietrza, dwuskładnikowe wymagają dodania utwardzacza. Stosuje się je do malowania powierzchni drewnianych (przede wszystkim podłóg), metalowych, z tworzyw sztucznych. Dają powłoki bardzo...

Przydatność 75% Zanieczyszczenia wg Chemii

ZANIECZSZCZENIA WÓD ŚRÓDLĄDOWYCH Często zanieczyszczona woda na pierwszy rzut oka niczym nie różni się od wody czystej.Czynniki,które ją zanieczyściły , najczęściej są bowiem tak rozcięczone , że niewidoczne są gołym okiem....

Przydatność 100% Referat z chemii - nikotynizm

Nie bawmy się w podawanie informacji, które są wszystkim znane, typu choroby. Nie bawmy się w rozpisywanie pierwiastkowe tylko trafiajmy do ludzi:) O szkodliwości palenia mówi się głośno, lecz mimo to liczba palaczy wciąż pnie się w górę. Ludzie sięgają po papierosy z nerwów, ciekawości, chęci przypodobania się i innych, osobistych przyczyn. Wiele osób zadaje sobie...

Przydatność 80% Rozwój chemii w XIX w.

Wiek XIX przyniósł wiele nowych teorii i odkryć w dziedzinie chemii. Najważniejszym osiągnięciem uczonych XIX-wiecznych było opisanie i pogrupowanie pierwiastków chemicznych pod względem właściwości. W okresie tym odkryto ich wiele. Na początku stulecia chemicy znali kilkanaście substancji elementarnych, z których 9 zostało pozyskanych w stanie czystym już w starożytności....

Przydatność 50% Zastosowanie chemii w broni atomowej

Chemia

0 odpowiada - 0 ogląda - 1 rozwiązań

Dodaj zadanie

Zobacz więcej opcji