Treść zadania

tomasz42

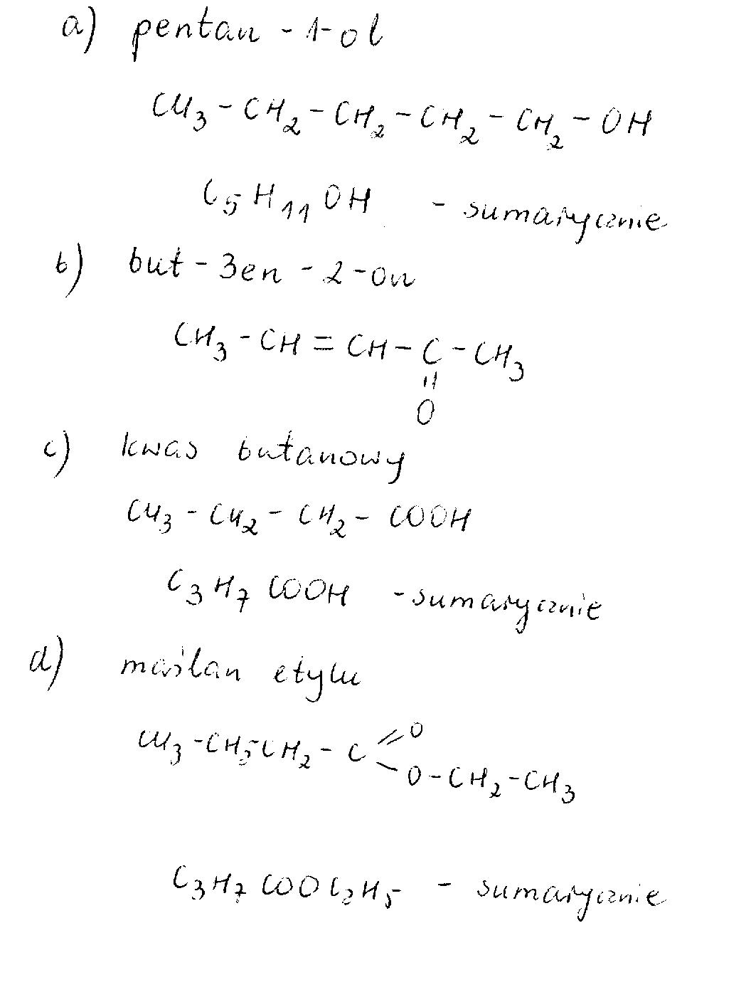
podaj wzory poniższych pochodnych węglowodorów

Załączniki do zadania

Zadanie jest zamknięte. Autor zadania wybrał już najlepsze rozwiązanie lub straciło ono ważność.

Rozwiązania

  • ewka13

    Rozwiązanie w załączniku...

    Załączniki

  • rob

    a)
    CH3-CH2-CH2-CH2-CH2-OH

    b)
    CH3 - C - CH = CH2
    ..........II
    .........O

    c)
    CH3-CH2-CH2-COOH

    d)
    CH3-CH2-CH2-COO-C2H5

Podobne zadania

ewela2010 podaj wzór strukturalny związków organicznych: a) palamitynian potasu b) Przedmiot: Chemia / Liceum 1 rozwiązanie autor: ewela2010 27.3.2010 (19:07)
asienkaanml napisz równanie reakcji kwasu mrówkowego z alkoholem etylowym oraz podaj Przedmiot: Chemia / Liceum 3 rozwiązania autor: asienkaanml 30.3.2010 (15:10)
martus91 podaj reakcje Przedmiot: Chemia / Liceum 2 rozwiązania autor: martus91 12.4.2010 (19:22)
kasiia8 narysować i nazwać wzory półstrukturalne izomerów DIMETYLOHEKSANU Przedmiot: Chemia / Liceum 2 rozwiązania autor: kasiia8 13.4.2010 (15:58)
Sandra Wzory i nazwy!!! Przedmiot: Chemia / Liceum 1 rozwiązanie autor: Sandra 24.4.2010 (20:49)

Podobne materiały

Przydatność 50% Wzory

Kinematyka V= s : t – szybkość średnia (ruch jednostajny) a= V : t – przyspieszenie (ruch przyspieszony) s= (a*t2) : 2 – droga (ruch przyspieszony) V= a*t – prędkość końcowa (ruch przyspieszony) s= 0,5 * V0 * t – droga w ruchu jednostajnie opóźnionym Dynamika F [N] – siła 1N = kg*m/s2 Fw – siła wypadkowa m [kg] – masa Fc –...

Przydatność 55% Wzory

l = 2п r – długość okręgu п = 3,14 P = п r2 – pole koła a√2 – przekątna w kwadracie h = (a√3) : 2 – wysokość trójkąta równobocznego P = (a√3) : 4 – pole trójkąta równobocznego r = h : 3 – promień okręgu wpisanego w trójkąt równoboczny R = 2h : 3 – promień okręgu opisanego na trójkącie równobocznym r = a :2 –...

Przydatność 60% Wzory

tresc w załączniku

Przydatność 55% Wzory

Tabela i w formie ściągi !

Przydatność 60% Wzory

siła F=ma (N) ciężar ciała F=mg (N) gęstość d=m/V (km/m3) ciśnienie p=F/S (Pa) ciśnienie hydrostatyczne ph=dgh (Pa) siła wyporu F=dVg (N) praca W=Fs (J) moc P=W/t (W) droga w ruchu jednostajnym s=Vśr*t pęd p=mV (kg*m/s) zmiana energii wewnętrznej U=W+Q (J) ładunek q=It (C) napięcie elektryczne R=U/I praca prądu elektrycznego W=UIT (J) moc elektryczna...

0 odpowiada - 0 ogląda - 2 rozwiązań

Dodaj zadanie

Zobacz więcej opcji