Treść zadania
Autor: Sailor_Moon Dodano: 15.10.2012 (16:13)
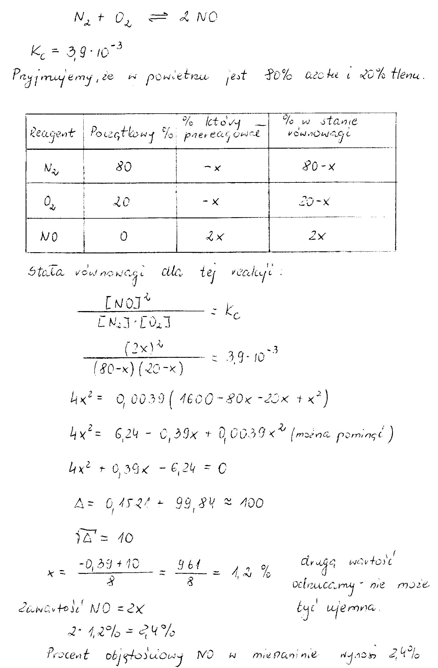
W wyniku wyładowań elektrycznych w powietrzu ustalona została równowaga:
N_2 + O_2 <-> 2 NO o stałej Kc = 3,9*10^-^3. Oblicz % objętościową zawartość NO w uzyskanej mieszaninie
Zadanie jest zamknięte. Autor zadania wybrał już najlepsze rozwiązanie lub straciło ono ważność.
Najlepsze rozwiązanie
Rozwiązania
Podobne zadania
|
|
2 rozwiązania | autor: czapla1 6.11.2010 (22:09) |
|
|
1 rozwiązanie | autor: -inflorescentia19 4.12.2011 (18:44) |
|
|
1 rozwiązanie | autor: Sailor_Moon 19.4.2012 (14:53) |
|
|
2 rozwiązania | autor: Sailor_Moon 19.4.2012 (15:09) |
|
|
1 rozwiązanie | autor: Sailor_Moon 26.6.2012 (11:38) |
Podobne materiały
Przydatność 55% Księgowe ujęcie wyniku finansowego
Księgowe ujęcie wyniku finansowego Rachunek zysków i strat jest drugim, obok bilansu, elementem sprawozdania finansowego jednostki. Ustawa o rachunkowości w art. 47 ust. 1 nakazuje wykazać w nim oddzielnie przychody, koszty, zyski, straty nadzwyczajne oraz obowiązkowe obciążenia wyniku finansowego za bieżący i poprzedni rok obrotowy. Kolejność i sposób wykazania przychodów,...
Przydatność 60% Opis silników elektrycznych
Silniki elektryczne dobierane są do potrzeb maszyny napędzanej. Sieć zasilająca musi być tak zaprojektowana i wykonana aby parametry silnika były możliwe do wykorzystania. Praca silnika wpływa na instalacje zasilającą, np. przy rozruchu silnika powstają znaczne spadki napięcia, co przy częstych rozruchach wywołuje znaczny spadek napięcia w sieci. Aby tego uniknąć stosuje się...
Przydatność 60% Wzorce wielkości elektrycznych
1. Wzorce miary rezystancji Wtórne wzorce miary rezystancji są odpowiednio skonstruowanymi i starannie wykonanymi rezystorami. Rezystory są wykonane z materiału oporowego o małym temperaturowym współczynniku rezystancji, mniejszym niż 10 -5/K i sile elektromotorycznej (SEM) kontaktowej mniejszej niż l μV/K. Konstrukcyjnie są wykonane w kształcie płaskownika lub zwojnicy z...
Przydatność 60% Rodzaje instalacji elektrycznych
Instalacja elektryczna-jest zespołem urządzeń elektrycznych o skoordynowanych parametrach technicznych,napięciu znamionowym do 1000V prądu przemiennego i 1500V prądu stałego,przeznaczonych do doprowadzenia energii elektrycznej z sieci rozdzielczej do odbiorników.Instalacja taka obejmuje nie tylko przewody i kable elektroenergetyczne,urządzenia i przyrządy...
Przydatność 65% Zasady działania domowych urządzeń elektrycznych
Kuchenka mikrofalowa. Kuchenki mikrofalowe wykorzystują do ogrzewania potraw promieniowanie elektromagnetyczne o częstotliwościach pomiędzy zakresem sygnałów telewizyjnych (UHV) a długofalowym końcem podczerwieni, czyli mikrofale. Standardowa częstotliwość mikrofal używana w kuchenkach jest dobrana tak, że są one bardzo dobrze pochłaniane przez wodę. Fala elektromagnetyczna...
0 odpowiada - 0 ogląda - 1 rozwiązań
3 0
ewka13 21.10.2012 (18:58)
Rozwiązanie w załączniku...
Załączniki
Dodawanie komentarzy zablokowane - Zgłoś nadużycie