Treść zadania

doma553

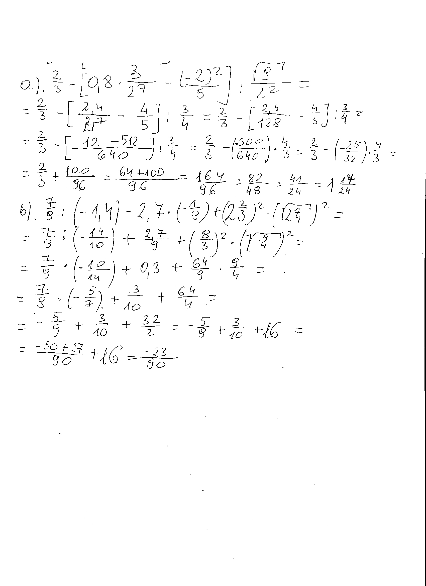
Ważne Dam Naj !!! . Rozwiąż za pomocą kolejności wykonywania działań :

Załączniki do zadania

Zadanie jest zamknięte. Autor zadania wybrał już najlepsze rozwiązanie lub straciło ono ważność.

Rozwiązania

Podobne zadania

basia0501 Proszę o pomoc!!! Oto tekst zadania: Do podanych równań ułóż tekst zadań: Przedmiot: Matematyka / Gimnazjum 1 rozwiązanie autor: basia0501 30.3.2010 (21:19)
madziunia09999 proszę o pomoc Przedmiot: Matematyka / Gimnazjum 1 rozwiązanie autor: madziunia09999 1.4.2010 (23:32)
darka120 Matematyka. Zadania tekstowe-równania ;/ Bardzo proszę o pomoc :) Przedmiot: Matematyka / Gimnazjum 2 rozwiązania autor: darka120 7.4.2010 (18:35)
darka120 Nierówności.Bardzo proszę o pomoc :) Przedmiot: Matematyka / Gimnazjum 1 rozwiązanie autor: darka120 11.4.2010 (15:18)
Larex Byłbym wdzięczny za pomoc :] Przedmiot: Matematyka / Gimnazjum 4 rozwiązania autor: Larex 12.4.2010 (20:46)

Podobne materiały

Przydatność 65% Kolejność wykonywania działań

Def. 1: Najpierw wykonujemy działania w nawiasach. 34+(65+16)-35=34+81-35=115-35=80 Def. 2: Jeżeli w działaniu występuje tylko dodawanie i odejmowanie, działania wykonujemy od strony lewej do prawej. 28-15+87=13+87=100 Def. 3: Jeżeli w działaniu występuje dodawanie, odejmowanie, mnożenie i dzielenie, najpierw wykonujemy...

Przydatność 75% Prawne formy wykonywania zawodu fizjoterapeuty

PRAWNE FORMY WYKONYWANIA ZAWODU FIZJOTERAPEUTY Fizjoterapia to ogromny dział rehabilitacji, na który składa się kinezyterapia (terapia ruchem), fizykoterapia (terapia za pomocą czynników fizycznych), oraz balneoterapia (terapia przy użyciu środków naturalnych). Sama w sobie rehabilitacja wg. Dz. U Nr.123 z 1997 roku oznacza ?(?) zespół działań w szczególności organizacyjnych,...

Przydatność 70% Prawo wykonywania zawodu w zawodzie pielęgniarki

Pielęgniarka/pielęgniarz to samodzielny pracownik ochrony zdrowia sprawujący opiekę medyczną nad pacjentem (podawanie leków, wykonywanie iniekcji, wlewów dożylnych), asystujący przy zabiegach, operacjach, wypełniający zlecenia lekarskie w procesie diagnostyki, leczenia i rehabilitacji, zajmujący się szeroko rozumianą edukacją zdrowotną i promocją zdrowia. Mówi o tym ustawa z...

Przydatność 80% Pierwsza pomoc - pomoc przedmedyczna

Pierwsza Pomoc Przedmedyczna Pierwsza pomoc przedmedyczna to czynności ratownika (osoby udzielającej pierwszą pomoc) prowadzące do zabezpieczenia i utrzymania przy życiu osoby poszkodowanej, do czasu przyjazdu wykwalifikowanych służb. Etapy pierwszej pomocy 1. ocena sytuacji 2. zabezpieczenie miejsca zdarzenia 3. ocena stanu poszkodowanego 4. wezwanie pomocy - 999 ? Pogotowie...

Przydatność 50% Pierwsza pomoc

UDZIEANIE PIERWSZEJ POMOCY POSZKODOWANYM RANY Rany należą do najczęszczych uszkodzeń urazowych i w większości powstają w następstwie nieszczęśliwych wypadków. Niektóre zranienia wymagają natychmiastowego opatrzenia z uwagi na stan zagrożenia życia. Inne natomiast nie zagrażają życiu, wymagają jedynie doraźnej pomocy, co wcale nie znaczy, że można je lekceważyć....

0 odpowiada - 0 ogląda - 1 rozwiązań

Dodaj zadanie

Zobacz więcej opcji