Treść zadania

mika1105

BARDZO PROSZĘ O ZROBIENIE ZADANIA 2.89 Z ZAŁĄCZNIKA???

Załączniki do zadania

Zadanie jest zamknięte. Autor zadania wybrał już najlepsze rozwiązanie lub straciło ono ważność.

Najlepsze rozwiązanie

  • 1 0

    2.89
    W tego typu równaniach izolujemy jeden z pierwiastków po jednej stronie, dwa pozostałe po drugiej (przykłady w zadaniu są już w takiej postaci). Następnie podnosimy obie strony do kwadratu. Eliminuje to jeden z pierwiastków, ale zostawia po drugiej stronie iloczyn pierwiastków. Ten iloczyn ponownie izolujemy po jednej ze stron i podnosimy drugi raz obie strony do kwadratu.
    Koniecznie trzeba sprawdzić otrzymane rozwiązania, gdyż dwukrotne podnoszenie do kwadratu dodaje nowe pierwiastki. Poza tym warto określić dziedzinę.

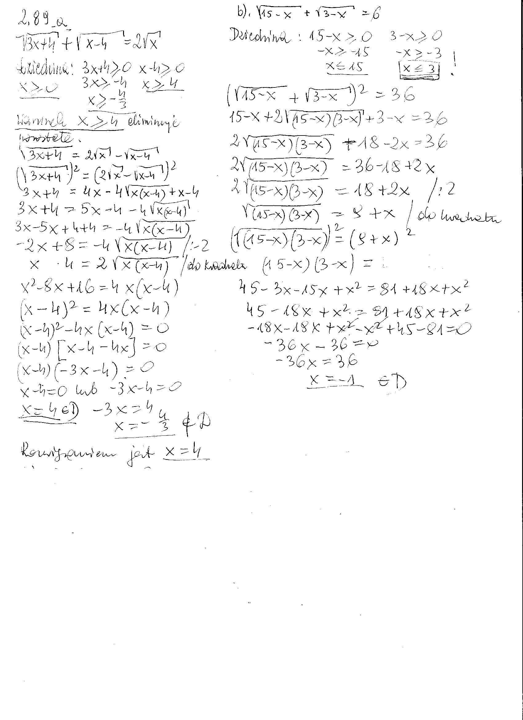
    a)
    Dziedzina: 3x + 4 >= 0 oraz x - 4 >=0 oraz x >= 0.
    Najmocniejszy z tych warunków to x-4 >= 0 więc x >= 4

    Pierwsze podnoszenie do kwadratu:

    \left(\sqrt{3x+4}+\sqrt{x-4}\right)^2 = \left(2\sqrt{x}\right)^2

    co daje:

    3x+4+2\,\sqrt{(3x+4)(x-4)} + x-4 = 4x

    Separujemy wyrażenie z pierwiastkiem. Akurat w tym przykładzie wychodzi elegancko:

    2\,\sqrt{(3x+4)(x-4)} = 0

    Wyrażenie pod pierwiastkiem jest zerem dla x1 = -4/3 oraz x2 = 4.
    Ale x = -4/3 nie należy do dziedziny (bo np. wtedy mamy liczbę ujemną pod pierwiastek(x), odrzucamy to rozwiązanie. Sprawdzamy dla x = 4:

    L = \sqrt{3\cdot 4+4}+\sqrt{4-4} = \sqrt{16} = 4\qquad\mbox{oraz}\qquad P = 2\sqrt{4} = 4

    Zgadza się, jest to poprawne rozwiązanie. Odpowiedź: x = 4
    ----------------------------------

    b)
    Dziedzina: 15 - x >= 0 oraz 3 - x >= 0.
    Silniejszy warunek to 3 - x >= 0 czyli x <= 3
    Pierwsze podnoszenie do kwadratu daje:

    15-x+2\,\sqrt{(15-x)(3-x)} + 3 - x = 36

    Separujemy pierwiastek i podnosimy do kwadratu obie strony:

    \left(2\,\sqrt{(15-x)(3-x)}\right)^2 = (18+2x)^2

    Po wymnożeniu nawiasów, podzieleniu przez 144 i uporządkowaniu:

    x + 1 = 0 czyli x = -1

    Sprawdzamy dla x = -1

    \sqrt{15-(-1)}+\sqrt{3-(-1)} = \sqrt{16}+\sqrt{4} = 6

    Zgadza się. x = -1 jest poprawną odpowiedzią i należy do dziedziny.
    --------------------

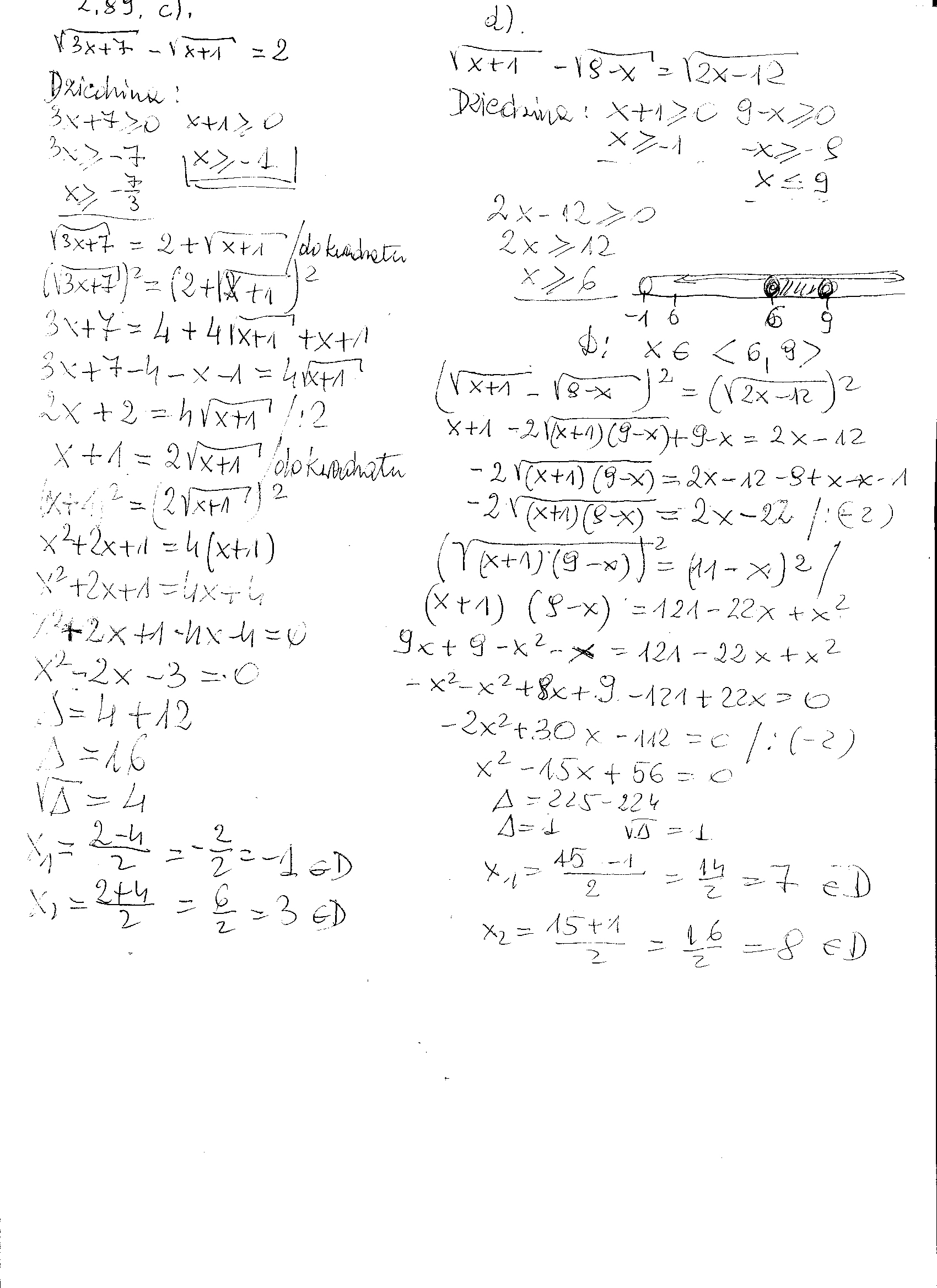
    c)
    Dziedzina: 3x + 7 >= 0 oraz x + 1 >= 0.
    Silniejszy warunek to x + 1>= 0 czyli x >= -1
    Pierwsze podnoszenie do kwadratu daje:

    3x+7 -2\,\sqrt{(3x+7)(x+1)} + x + 1 = 4

    Separujemy pierwiastek i podnosimy do kwadratu obie strony:

    (4+4x)^2 = \left(2\,\sqrt{(3x+7)(x+1)}\right)^2

    Daje to:

    16(1 + 2x + x^2) = 4(3x+7)(x+1)

    Po wymnożeniu nawiasów, podzieleniu przez 4 i uporządkowaniu:

    x^2 -2x -3 = 0 ; stosujemy metodę z zadania 2.86

    -2 = -3 + 1 oraz -3 = (-3) * 1 więc

    x^2 -2x -3 = (x - 3)(x + 1) = 0

    Daje to x1 = -1, x2 = 3. Oba rozwiązania należą do dziedziny. Sprawdzamy:
    Dla x = -1 lewa strona wynosi:

    \sqrt{3\cdot(-1)+7}-\sqrt{-1+1} = \sqrt{4} = 2

    Dla x = 3 lewa strona wynosi:

    \sqrt{3\cdot 3+7}-\sqrt{3+1} = \sqrt{16} + \sqrt{4} = 6

    Odpowiedź: Jak widać jedyne poprawne rozwiązanie to x = -1.
    --------------------------

    d)
    Dziedzina:
    x + 1 >=0 praz 9 - x >= 0 oraz 2x - 12 >= 0
    Warunki te oznaczają że x należy do przedziału [6, 9]
    Pierwsze podnoszenie do kwadratu daje:

    x+1 - 2\,\sqrt{(x+1)(9-x)}+9-x = 2x-12

    Separujemy pierwiastek i podnosimy do kwadratu obie strony:

    (22-2x)^2 = \left(2\,\sqrt{(x+1)(9-x)}\right)^2

    Po wymnożeniu nawiasów, podzieleniu przez 8 i uporządkowaniu:

    x^2 - 15x + 56 = 0 ; metoda z zadania 2.86 daje rozkład:

    x^2 - 15x + 56 = (x - 7)(x - 8) więc x1 = 7, x2 = 8.

    Sprawdzamy. Dla x = 7 różnica lewej i prawej strony daje:

    \sqrt{7+1}-\sqrt{9-7} - \sqrt{2\cdot 7 - 12}= \sqrt{8} - \sqrt{2} - \sqrt{2} = 2\sqrt{2}-2\sqrt{2} = 0

    Poprawne i należy do dziedziny.
    Dla x = 8

    \sqrt{8+1}-\sqrt{8-7} - \sqrt{2\cdot 8} - 12}= 3 - 1 - 2 = 0

    Poprawne i należy do dziedziny.

    Odpowiedź: x1 = 7; x2 = 8
    ----------------------------

Rozwiązania

Podobne zadania

mania1408-k1 proszę o pomoc zadania na jutro. Przedmiot: Matematyka / Liceum 2 rozwiązania autor: mania1408-k1 13.4.2010 (16:43)
mania1408-k1 proszę o pomoc zadania na jutro. Przedmiot: Matematyka / Liceum 1 rozwiązanie autor: mania1408-k1 13.4.2010 (16:49)
mala53 Bardzo proszę o pomoc! Przedmiot: Matematyka / Liceum 1 rozwiązanie autor: mala53 19.4.2010 (11:00)
mania1408-k1 Pole i wycinek koła.pomocy ! zadania na jutro. Przedmiot: Matematyka / Liceum 1 rozwiązanie autor: mania1408-k1 20.4.2010 (15:12)
mania1992 proszę o pomoc!! (geometria płaska) zadania na wtorek. Przedmiot: Matematyka / Liceum 1 rozwiązanie autor: mania1992 24.4.2010 (13:10)

Podobne materiały

Przydatność 60% Renesans bardzo ogolnie.

Renesans, inaczej odrodzenie – jest to epoka w dziejach kultury europejskiej, trwająca od XV do XVI wieku (we Włoszech już od XIV wieku. Termin „odrodzenie został użyty po raz pierwszy przez Vasariego w celu scharakteryzowania tendencji w malarstwie włoskim. Literatura – Głównym prądem renesansu był humanizm. Wśród dziedzin sztuki uprzywilejowane miejsce wyznaczono sztuce....

Przydatność 55% Bankowośc zadania

POSIADAM JESZCZE INNE MATERIAŁY Z BANKOWOŚCI I NIE TYLKO

Przydatność 70% Zadania wahadłowców

Promy kosmiczne, zwane też wahadłowcami lub samolotami kosmicznymi, są pierwszymi pojazdami wielokrotnego użytku przeznaczonymi do podróży poza naszą planetę. Startują z powierzchni Ziemi na podobieństwo rakiety kosmicznej, po wejściu na orbitę stają się sztucznymi satelitami, a gdy kończą zadanie, lądują z powrotem na ziemskim globie niczym gigantyczny szybowiec. Już sama...

Przydatność 80% Zadania sekretariatu

Zadania sekretariatu Głównym zadaniem sekretariatu jest odciążenie kierownika z uciążliwych administracyjno - biurowych i techniczno ? usługowych spraw które są bardzo drobne. W strukturze firmy sekretariat nie ma charakteru merytorycznego lecz usługowy. W sekretariacie może być zatrudnionych kilka osób ale najczęściej jest to komórka jednoosobowa (zatrudniony to sekretarka lub...

Przydatność 50% Zadania spedytora

Zadania spedytora: - Spedytor zobowiązany jest wykonywać swoje czynności zgodnie z przyjętym zleceniem. - Spedytor jest zobowiązany do odbioru przesyłki w przypadku gdy brakuje właściwych dokumentów. - Spedytor odbierając przesyłkę jest zobowiązany sprawdzić czy przesyłka dostarczona została w stanie nienaruszonym. - Spedytor nie ma obowiązku sprawdzać zgodność...

0 odpowiada - 0 ogląda - 2 rozwiązań

Dodaj zadanie

Zobacz więcej opcji