Zaliczaj.pl
Liceum » Matematyka
Dodaj do ulubionych Drukuj
Autor: niusia1992 Dodano: 17.9.2012 (19:25)
na już prooszę rysunek też
Zgłoś nadużycie
Zadanie jest zamknięte. Autor zadania wybrał już najlepsze rozwiązanie lub straciło ono ważność.
0 0
rybitwa11 18.9.2012 (01:11)
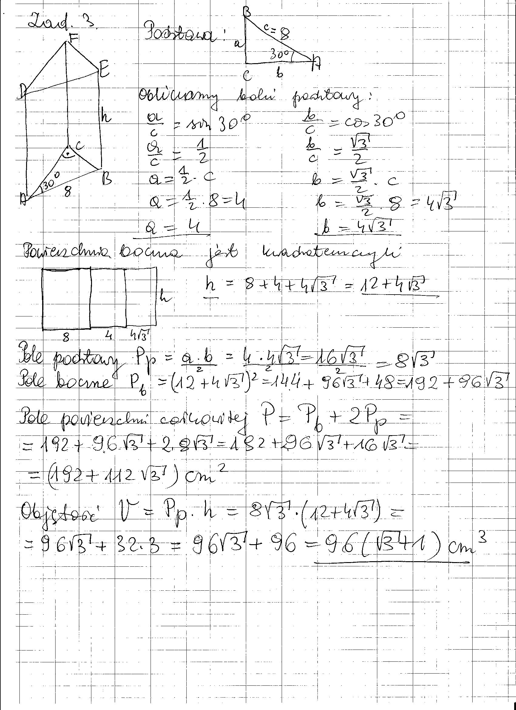
Zad.2.h=wysokość do jakiej podniesie się woda w akwarium po wrzuceniu kostki V=objętość kostki V=2³=8 cm³ Podstawa akwarium=10*20 =200 cm² V=P*h, stad h=V/P h=8/200=4/100=0,04 cm=0,4 mm Woda podniesie się o 0,4 mm
Dodawanie komentarzy zablokowane - Zgłoś nadużycie
0 odpowiada - 0 ogląda - 1 rozwiązań
Zobacz więcej opcji
0 0
rybitwa11 18.9.2012 (01:11)
Zad.2.h=wysokość do jakiej podniesie się woda w akwarium po wrzuceniu kostki
V=objętość kostki
V=2³=8 cm³
Podstawa akwarium=10*20 =200 cm²
V=P*h, stad h=V/P
h=8/200=4/100=0,04 cm=0,4 mm
Woda podniesie siÄ™ o 0,4 mm
Załączniki
Dodawanie komentarzy zablokowane - Zgłoś nadużycie