Treść zadania

kati19

proszę to na jutro rozwiążcie w wordzie ok
bo tylko tak umię rozczytać (zadania te zaznaczone w kółko)

zadania w załączniku

daje najj

Załączniki do zadania

Zadanie jest zamknięte. Autor zadania wybrał już najlepsze rozwiązanie lub straciło ono ważność.

Rozwiązania

  • rybitwa11

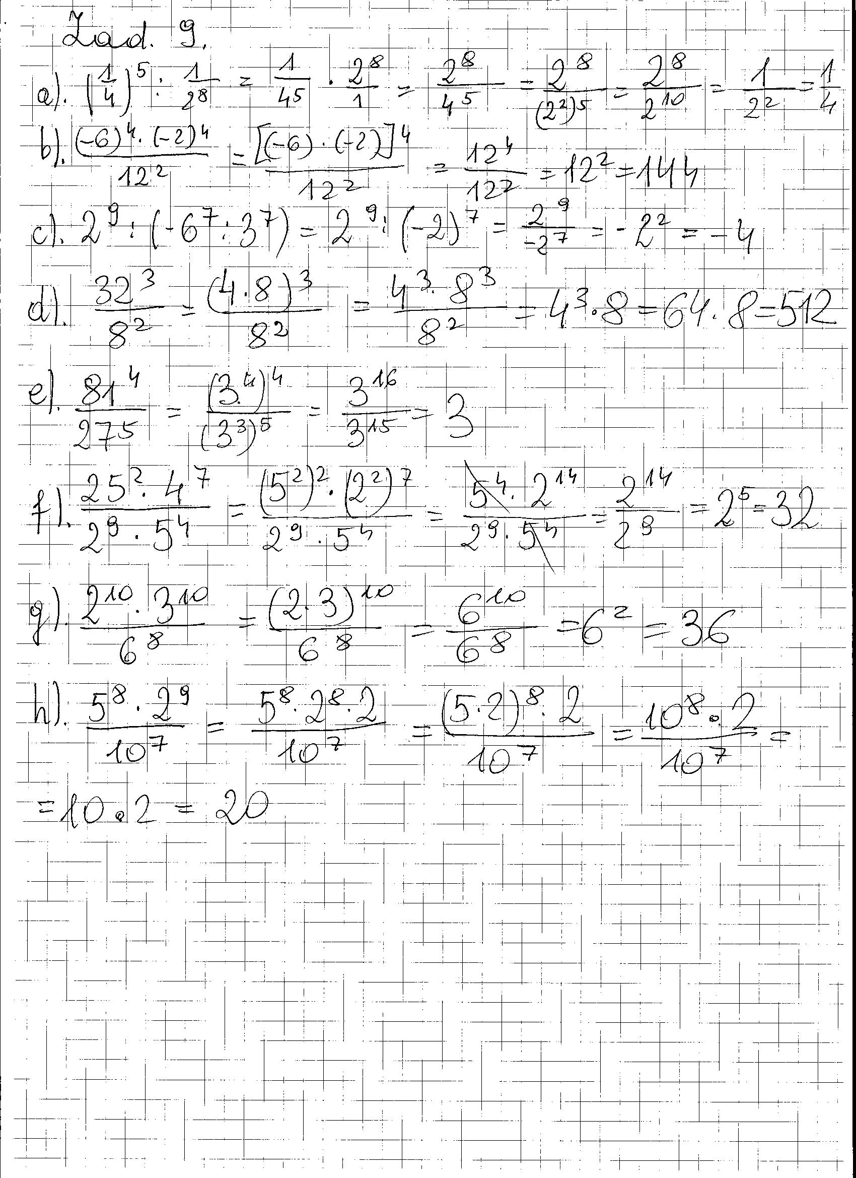
    Zad.8.
    2⁵*5⁷=(2*5)⁵*5²=10⁵*25 pięć zer
    2⁶*5³=(2*5)³*2³=10³*8 trzy zera
    4*5⁵=2²*5⁵=(2*5)²*5³=10²*125 dwa zera
    4⁸*75⁵=(4*75)⁵*4³=300*64 dwa zera
    12⁴*50³=(12*50)³*12=600³*12 trzy zera
    Zad.34.
    2⁵*4³:8³=2⁵*(2²)³: (2³)³=2⁵*2⁶: 2^9=2¹¹:2^9=2²=4
    2,5⁷*4⁷:10⁵=(2,5*4)⁷: 10⁵=10⁷:10⁵=10²=100
    (1/3)⁴*9³=
    0,2¹²°*5¹²°=(0,2*5)¹²°=1¹²°=1
    (1,5³*27) :4,5²=(1,5³*3³):(1,5*3)²=(1,5*3)³ : (1,5*3)²=1,5*3=4,5
    0,2⁶*(10²)³=0,2⁶*10⁶=(0,2*10)⁶=2⁶=64
    0,0001²*1000³=(0,0001*1000)²*1000=(0,1)²*10³=(0,1*10)²*10=10
    25²*0,04=(5²)²*(0,2)²=(5*0,2)²=1
    (3/4)⁵*(1 1/3)⁴=(3/4)⁵*(4/3)⁴=(3/4*4/3)⁴*3/4=1*3/4=3/4

    Załączniki

  • userphoto

    W załączniku rozwiazania do załącznika 1

    Załączniki

Podobne zadania

misiek33456 prosze to zadanie jest na jutro Przedmiot: Matematyka / Gimnazjum 3 rozwiązania autor: misiek33456 28.3.2010 (14:49)
kisses zadanie- pilne na jutro! Przedmiot: Matematyka / Gimnazjum 1 rozwiązanie autor: kisses 6.4.2010 (13:28)
kisses Pilne na jutro. Pomóżcie mi. Przedmiot: Matematyka / Gimnazjum 1 rozwiązanie autor: kisses 6.4.2010 (13:36)
darka120 równania [rozwiązanie potrzebuję na jutro ;/ Pls.] Przedmiot: Matematyka / Gimnazjum 2 rozwiązania autor: darka120 6.4.2010 (19:12)
tablicamendelejewa Wody słone stanowią 97,4% wszystkich wód,wody słodkie tylko 2,6%.Oblicz,ile Przedmiot: Matematyka / Gimnazjum 2 rozwiązania autor: tablicamendelejewa 7.4.2010 (17:14)

Podobne materiały

Przydatność 55% Prezentacja o Wordzie

W załączniku jest praca mojego autorstwa dla nauczyciela informatyki mojej szkoły.

Przydatność 50% Cwiczenie w Wordzie

Moje ćwiczenie, które musialam wykonać na informatyce: Wciskając lewy alt i odpowiednie klawisze na klawiaturze numerycznej (trzeba wcisnąć Num Lock, żeby ją aktywować) wpisujemy swoje imię. Przykłady: Alt 65 = A Alt 103 = g Alt 110 = n Alt 105 = i Alt 101 = e Alt 115 = s Alt 122 = z Alt 107 = k Alt 97 = a Alt 77 = M Alt 97 = a Alt 103 = g Alt 100...

Przydatność 60% Opis Krzysia M.E.Letki "Jutro znów pójdę w świat. - Listy"

Bohater utworu M. E. Letki ”Jutro znów pójdę w świat. Listy” to Krzyś. Chłopiec ma 11 lat i jest osobą niepełnosprawną, chodzi o kuli. Jego zainteresowaniem jest kolekcjonowanie znaczków, chciałby się z kimś podzielić swoją pasją. Krzyś nie uczęszcza na lekcje wychowania fizycznego, ponieważ jest cienkim chuchrem. Ma z tego powodu same kompleksy i wstydzi się swojej...

Przydatność 55% Napisz pocztówke do kolegi z Anglii: 1. Napisz o pogodzie. 2. Co zazwyczaj robisz. 3. Co robiłaś wczoraj. 4. Co będziesz robić jutro.

Hello Kasia, I'm in Rome now. The weather is beautiful. It is sunny and hot. I usually swimm and sunbeaching at the beach. Yesterday I was sightseeing the city. I saw many besutiful bildings. Tommorow I will be back to Poland. See you soon. Best wishes! Monika

0 odpowiada - 0 ogląda - 2 rozwiązań

Dodaj zadanie

Zobacz więcej opcji