Treść zadania

Sambia

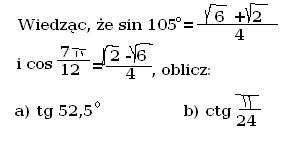
Wiedząc, że sin 105 stopni = ..., oblicz tg 52,5 stopnia... Proszę o pomoc, daję najlepsze rozwiązanie

Załączniki do zadania

Zadanie jest zamknięte. Autor zadania wybrał już najlepsze rozwiązanie lub straciło ono ważność.

Najlepsze rozwiązanie

Rozwiązania

Podobne zadania

martusb93 oblicz: (tg30-ctg30)/cos30 Przedmiot: Matematyka / Liceum 2 rozwiązania autor: martusb93 29.3.2010 (18:20)
olo oblicz objętość i pole powierzchni stożka o promieniu podstawy r,jeżeli Przedmiot: Matematyka / Liceum 1 rozwiązanie autor: olo 30.3.2010 (18:23)
angelika1990 1)Dane są wielomiany Oblicz W(x)=x³-2x+1 W(x)+Q(x) Q(x)=-x³+3x Przedmiot: Matematyka / Liceum 1 rozwiązanie autor: angelika1990 8.4.2010 (18:05)
kotek93 oblicz miary kątów trójkąta równoramiennego, w którym: a)kąt przy Przedmiot: Matematyka / Liceum 1 rozwiązanie autor: kotek93 12.4.2010 (17:04)
gumis Oblicz długość boku trójkąta równobocznego, którego wysokość ma Przedmiot: Matematyka / Liceum 1 rozwiązanie autor: gumis 12.4.2010 (18:37)

Podobne materiały

Przydatność 55% Stopnie Wojskowe

Przełożonym w wojsku,jest osoba zajmująca wyższe stanowisko bez względu na stopień wojskowy. Starszym jest który ma wyższy stopień wojskowy. Korpus szeregowy -szeregowy -starszy szeregowy Korpus Podoficerski -kapral } -starszy kapral }podoficerowie mlodsi -plutonowy } -sierżant ] -starszy sierżant ] podoficerowie starsi...

Przydatność 80% Stopnie wojskowe

Stopnie wojskowe w załączniku!

Przydatność 65% Oblicze Ojczyzny

(praca z 1 klasy gima) słowa w wierszu "*** (oblicze ojczyzny)" Tadeusza Różewicza "na początku ojczyzna jest blisko, na wyciągnięcie ręki" oznaczają, że gdy jesteśmy jeszcze mali ojczyzna to rodzice, koledzy i koleżanki, to nasz dom, nasze podwórko. ważniejsze jest wtedy dla nas to, że koleżance zaginął kot, a nie że wielu ludzi nie ma pracy i nie ma za co wyżywić...

Przydatność 70% Reguły ustalania stopni utlenienia

1. Pierwiastki w stanie wolnym występują na zerowym stopniu utlenienia. (0) 2. Metale w związkach chemicznym występują zawsze na dodatnim stopniu utlenienia, zgodnym z wartościowością. 3. Fluor w związkach chemicznych występuje zawsze na -I stopniu utlenienia. 4. Wodór najczęściej występuje na +I stopniu utlenienia. Wyjątek stanowią wodorki metali, gdzie występuje na...

Przydatność 55% wiersz Oblicze ojczyzny

Czytając wiersz Tadeusz Różewicza pt.Oblicze ojczyzny odnoszę wrażenie,iż poeta miał szczęśliwe dzieciństwo,chociaż lata w których przyszło mu dorastać nie należały do spokojnych.Wojna i okupacja nie zatarły jednak beztroskich i pełnych ciepłych barw wspomnień poety. Kiedy jest się dzieckiem,całym światem są najbliżsi: mama,tata i...

0 odpowiada - 0 ogląda - 1 rozwiązań

Dodaj zadanie

Zobacz więcej opcji