Treść zadania

Konto usunięte

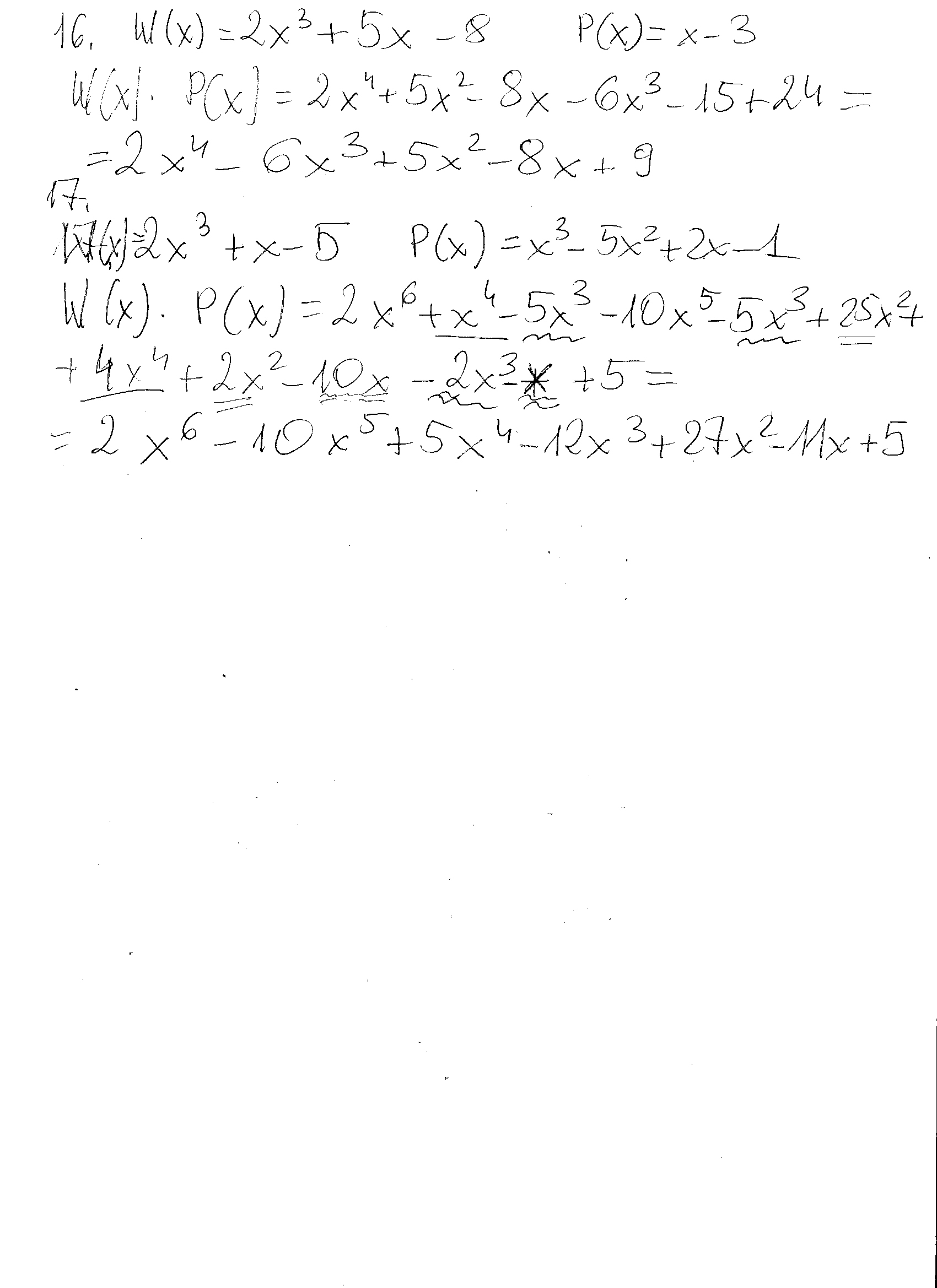
16)dane są wielomiany W(x)= 2x^3+5x-8 i P(x)= x-3 oblicz W(x)*P(x)
17) dane są wielomiany W(x)=2x^3 +x-5 i P(x)=x^3- 5x^2+2x -1

Zgłoś nadużycie

Komentarze do zadania

  • 16 )
    W(x)*P(x)= (2x^3+5x-8)*(x-3) = 2x^4-6x^3+5x^2-15x-8x+24=
    2x^4-6x^3+5x^2-23x+24
    17)
    W(x)*P(x)= (2x^3+x-5)*(x^3-5x^2+2x-1)=
    2x^6 - 10x^5 + 4x^4 - 2x^3 + x^4 - 5x^3 +2x^2 - x - 5x^3 + 25x^2 - 10x +5=
    2x^6 - 10x^5 +5x^4 - 12 x^3 +27x^2 - 11x + 5

Zadanie jest zamknięte. Autor zadania wybrał już najlepsze rozwiązanie lub straciło ono ważność.

Rozwiązania

Podobne zadania

martusb93 oblicz: (tg30-ctg30)/cos30 Przedmiot: Matematyka / Liceum 2 rozwiązania autor: martusb93 29.3.2010 (18:20)
olo oblicz objętość i pole powierzchni stożka o promieniu podstawy r,jeżeli Przedmiot: Matematyka / Liceum 1 rozwiązanie autor: olo 30.3.2010 (18:23)
angelika1990 1)Dane są wielomiany Oblicz W(x)=x³-2x+1 W(x)+Q(x) Q(x)=-x³+3x Przedmiot: Matematyka / Liceum 1 rozwiązanie autor: angelika1990 8.4.2010 (18:05)
lestat919 wielomiany Przedmiot: Matematyka / Liceum 1 rozwiązanie autor: lestat919 8.4.2010 (19:10)
aluszacedro dane są wierzchołki trójkąta A=(6,-1), B=(10,1), C=(2,7) wykaż że Przedmiot: Matematyka / Liceum 2 rozwiązania autor: aluszacedro 12.4.2010 (15:22)

Podobne materiały

Przydatność 65% Oblicze Ojczyzny

(praca z 1 klasy gima) słowa w wierszu "*** (oblicze ojczyzny)" Tadeusza Różewicza "na początku ojczyzna jest blisko, na wyciągnięcie ręki" oznaczają, że gdy jesteśmy jeszcze mali ojczyzna to rodzice, koledzy i koleżanki, to nasz dom, nasze podwórko. ważniejsze jest wtedy dla nas to, że koleżance zaginął kot, a nie że wielu ludzi nie ma pracy i nie ma za co wyżywić...

Przydatność 55% wiersz Oblicze ojczyzny

Czytając wiersz Tadeusz Różewicza pt.Oblicze ojczyzny odnoszę wrażenie,iż poeta miał szczęśliwe dzieciństwo,chociaż lata w których przyszło mu dorastać nie należały do spokojnych.Wojna i okupacja nie zatarły jednak beztroskich i pełnych ciepłych barw wspomnień poety. Kiedy jest się dzieckiem,całym światem są najbliżsi: mama,tata i...

Przydatność 65% Drugie oblicze opalania

Praca w załączniku

Przydatność 60% Polska - ogółne dane

Polozenie polski na kuli ziemskiej. Polska ma szer pół. a dł wschodnia. Konsekwencje rozciaglosci poludnikowej jest roznica trwania dnia miedzy pół. a poł. Czerwca w Polsce dzien trwa 17h20min w gdyni i jest dluzszy o 1h20min Zakopanem. Konsekwencja rozciaglosci rownoleznikowej jest roznica we wschodzie slonaca, slonce wschodzi wczesniej o 40 min na wsch Polski. Czas letni wedlug...

Przydatność 60% Chorwacja - główne dane

CHORWACJA. PRZEMYSŁ. Główną rolę w gospodarce Chorwacji odgrywa przemysł przetwórczy o zróżnicowanej strukturze gałęziowej; do najważniejszych gałęzi należą: hutnictwo żelaza (Sisak) i aluminium (Lozovac, Razine), przemysł stoczn. (Rijeka, Split, Pula) oraz petrochem. (Sisak, Osijek, Split); duże znaczenie ma przemysł maszyn. (m.in. fabryki: obrabiarek — Zagrzeb, maszyn...

0 odpowiada - 0 ogląda - 1 rozwiązań

Dodaj zadanie

Zobacz więcej opcji