Zadanie jest zamknięte. Autor zadania wybrał już najlepsze rozwiązanie lub straciło ono ważność.
Najlepsze rozwiązanie
Rozwiązania
Podobne zadania
|
|
1 rozwiązanie | autor: martyska123 11.6.2010 (21:00) |
|
|
1 rozwiązanie | autor: niebo 2.3.2011 (15:09) |
|
|
1 rozwiązanie | autor: ~tabaskonix 13.4.2011 (16:37) |
|
|
1 rozwiązanie | autor: Weraaa32 26.9.2011 (19:23) |
|
|
1 rozwiązanie | autor: magnez91 14.10.2011 (18:31) |
Podobne materiały
Przydatność 80% „Nasz naród jak lawa” – obraz społeczeństwa polskiego w III części „Dziadów ” Adama Mickiewicza. Rozwiń temat, analizując podana scenę i odwołując się do całości utworu.
Społeczeństwo polskie po upadku powstania listopadowego nie było całkowicie jednolite. Większość była patriotami, ale znajdowali się również kosmopolici, którym nie przeszkadzały rządy cara w Polsce i nie obchodziło ich zupełnie, co dzieje się w kraju. Byli również tacy, którzy podporządkowali się zaborcy. Tym sposobem chcieli oni polepszyć swoją sytuację materialną,...
0 odpowiada - 0 ogląda - 1 rozwiązań
1 0
antekL1 29.5.2012 (11:40)
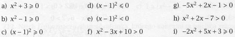
Pytanie było: "Ile jest rozwiązań", nie "jakie są rozwiązania"
Dlatego podaję tylko odpowiedzi.
a) nieskończenie wiele (wszystkie liczby rzeczywiste)
b) Nieskończenie wiele, z przedziału:
x \in (-\infty, -1> \,\cup \,<1, +\infty)
c) nieskończenie wiele (wszystkie liczby rzeczywiste)
d) Jedno: x = 1
e) Zero
f) nieskończenie wiele (wszystkie liczby rzeczywiste)
g) Zero
h) nieskończenie wiele, z przedziału:
x \in (-\infty, -1-2\sqrt{2})\cup (-1+2\sqrt{2}, +\infty)
i) nieskończenie wiele, z przedziału:
x \in \,\,<-\frac{1}{2}, 3>
Dodawanie komentarzy zablokowane - Zgłoś nadużycie