Treść zadania

~Guti

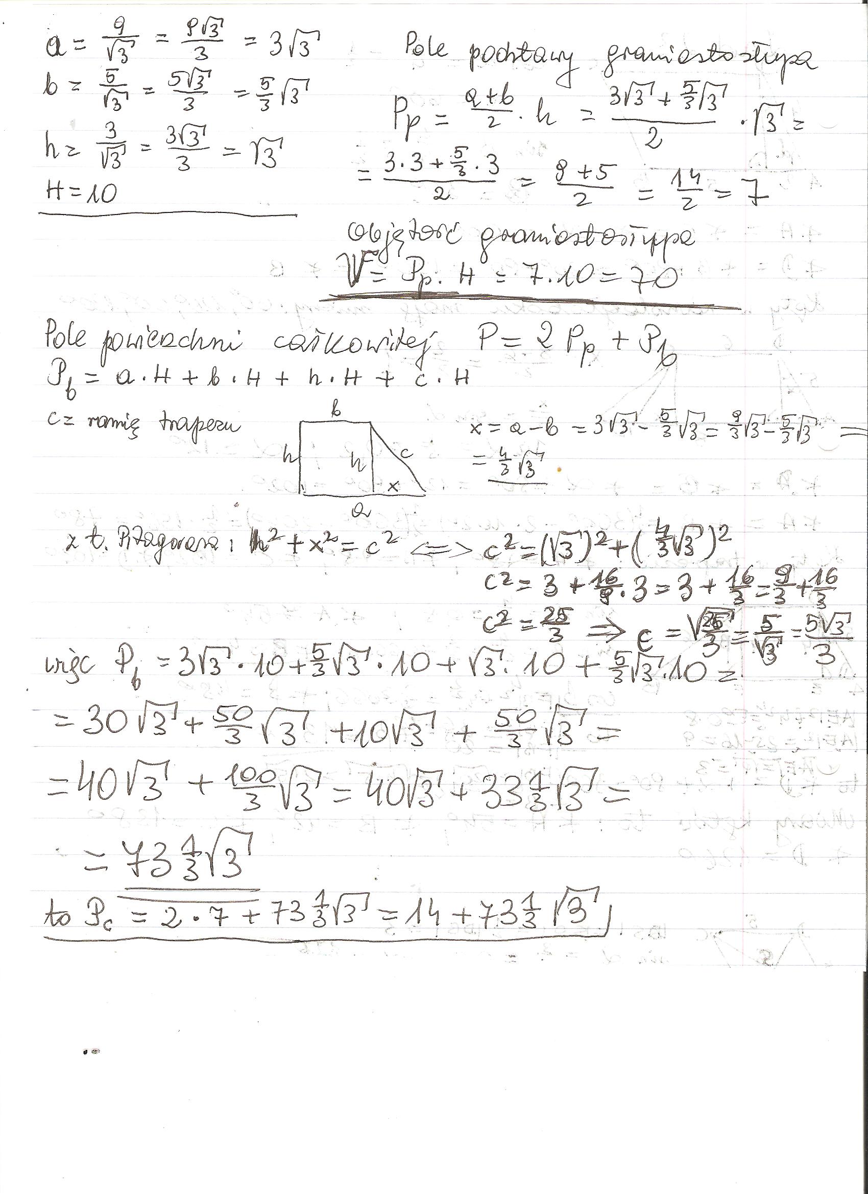
Oblicz pole całkowite i objętość graniastosłupa prostego o podstawie trapezu prostokątnego, którego podstawy wynoszą odpowiednio a= 9\sqrt3, b=5\sqrt3 i wysokości trapezu h=3\sqrt3 . Wysokość graniastosłupa H=10.

Zadanie jest zamknięte. Autor zadania wybrał już najlepsze rozwiązanie lub straciło ono ważność.

Rozwiązania

Podobne zadania

martusb93 oblicz: (tg30-ctg30)/cos30 Przedmiot: Matematyka / Liceum 2 rozwiązania autor: martusb93 29.3.2010 (18:20)
lusi1069 pole przekroju walca płaszczyzną równoległa do podstawy jest równe 49/pi a Przedmiot: Matematyka / Liceum 1 rozwiązanie autor: lusi1069 30.3.2010 (16:42)
olo oblicz objętość i pole powierzchni stożka o promieniu podstawy r,jeżeli Przedmiot: Matematyka / Liceum 1 rozwiązanie autor: olo 30.3.2010 (18:23)
olo obliczobiętość i pole powierzchni całkowitej stożka o wysokości h Przedmiot: Matematyka / Liceum 1 rozwiązanie autor: olo 30.3.2010 (18:36)
angelika1990 1)Dane są wielomiany Oblicz W(x)=x³-2x+1 W(x)+Q(x) Q(x)=-x³+3x Przedmiot: Matematyka / Liceum 1 rozwiązanie autor: angelika1990 8.4.2010 (18:05)

Podobne materiały

Przydatność 65% Oblicze Ojczyzny

(praca z 1 klasy gima) słowa w wierszu "*** (oblicze ojczyzny)" Tadeusza Różewicza "na początku ojczyzna jest blisko, na wyciągnięcie ręki" oznaczają, że gdy jesteśmy jeszcze mali ojczyzna to rodzice, koledzy i koleżanki, to nasz dom, nasze podwórko. ważniejsze jest wtedy dla nas to, że koleżance zaginął kot, a nie że wielu ludzi nie ma pracy i nie ma za co wyżywić...

Przydatność 80% "Do prostego człowieka" Juliana Tuwima.

Utwór ?Do prostego człowieka? jest ściśle związany z historią naszego kraju. To manifest podmiotu lirycznego przeciwko mechanizmowi wojennej propagandy. Rok 1929 gdy powstał ten wiersz to czasy niepewne dla prostego człowieka, upływające pod znakiem aktywności sił nacjonalistycznych i faszystowskich, których niebezpieczeństwo widział poeta. Dlatego postanowił napisać utwór,...

Przydatność 55% wiersz Oblicze ojczyzny

Czytając wiersz Tadeusz Różewicza pt.Oblicze ojczyzny odnoszę wrażenie,iż poeta miał szczęśliwe dzieciństwo,chociaż lata w których przyszło mu dorastać nie należały do spokojnych.Wojna i okupacja nie zatarły jednak beztroskich i pełnych ciepłych barw wspomnień poety. Kiedy jest się dzieckiem,całym światem są najbliżsi: mama,tata i...

Przydatność 65% Drugie oblicze opalania

Praca w załączniku

Przydatność 55% Pole elektrostatyczne

Polem elektrostatycznym nazywamy własność przestrzeni polegająca na tym że na umieszczone w tej przestrzeni ciała naelektryzowane działa siła elektryczna. Natężeniem pola elektrostatycznego w danym punkcie nazywamy stosunkiem siły działającej na umieszczony w tym punkcie próbny ładunek dodatni q+ do tego ładunku. Super pozycją pul nazywamy sumę natężeń w danym punkcie pola...

0 odpowiada - 0 ogląda - 1 rozwiązań

Dodaj zadanie

Zobacz więcej opcji