Treść zadania
Autor: Konto usunięte Dodano: 24.5.2012 (12:57)
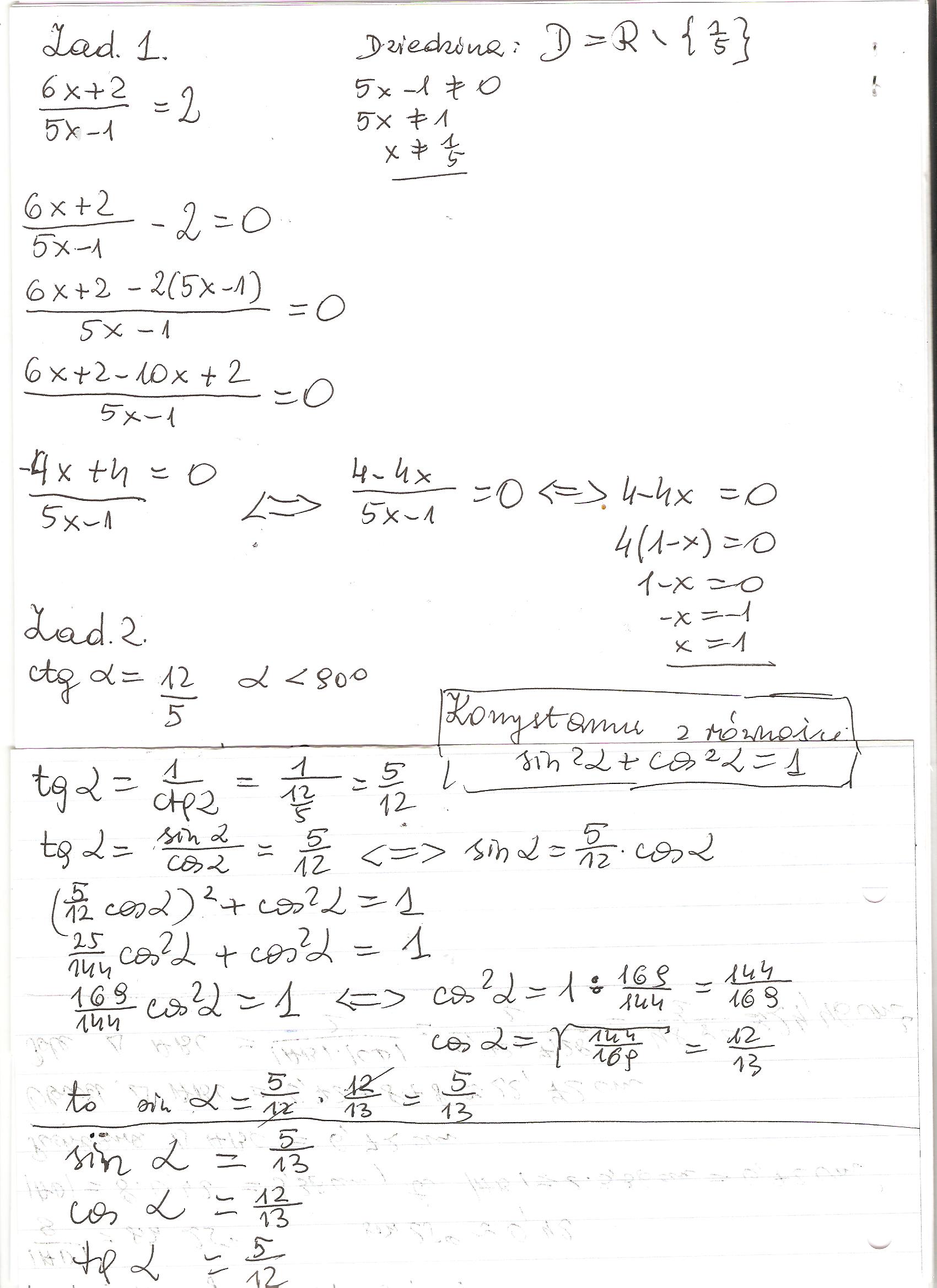
1)PODAJ DZIEDZINĘ I ROZWIĄŻ RÓWNANIE
6x+2
---------=2
5x-1
2)WIEDZĄC , ŻE a=ALFA JEST KĄTEM OSTRYM I CTGA=12, OBLICZ SIN a, COS a, tga. POD 12 JSTE KRESKA I 5NA DOLE
------
5
Zadanie jest zamknięte. Autor zadania wybrał już najlepsze rozwiązanie lub straciło ono ważność.
Rozwiązania
Podobne zadania
|
|
1 rozwiązanie | autor: Ewunia2906 26.5.2018 (17:54) |
Podobne materiały
Przydatność 50% Klasyfikacja dziedzin przemyslu(sciąga)
Klasyfikacja dziedzin przemyslu : 1.Przemysl wydobywczy 2.Przemysl przetwórczy a)energetyczny b)metalurgiczny c)elektromaszynowy -metalowy -maszynowy -samochodowy(ś.t) (ś.t) znaczy: -stoczniowy(ś.t) przem.środków -lotniczy(ś.t) transportu -taboru kolejowego(ś.t) d)chemiczny -chemiczny ciężki -chemiczny lekki Jfarmaceutyczny...
Przydatność 70% Miłość kochanków z Werony inspiracją artystów różnych dziedzin sztuki.
Dlaczego nieszczęśliwa miłość kochanków z Werony wciąż inspiruje artystów różnych dziedzin sztuki? I. Teza: Nieszczęśliwa miłość kochanków z Werony wciąż inspiruje artystów różnych dziedzin sztuki. II. Argumenty: 1. młodość, niemal dziecinność bohaterów rodzi wzruszenie 2. współczucie z powodu losu zgotowanego przez rodziców 3. miłość od pierwszego...
Przydatność 70% Nieszczęśliwa miłość kochanków wciąż inspiruje z różnych dziedzin sztuki
"Romeo i Julia" to historia dwojga kochanków, młodych, niewinnych ludzi, których miłość była ponad dzielącymi ich rodami. Najslynniejszy dramaturg wszechczasow- William Szekspir ukazujac czysta, niewinna, a nawet niedojrzała milosc staje sie inspiracja w roznych dziedzinach sztuki. W swoich ponizszych argumentach przedstawie roznorodnosc przyczyn niezwyklej zywotnosci kochankow. Moim...
Przydatność 70% Dlaczego nieszczęśliwa miłość kochanków wciąż inspiruje artystów z różnych dziedzin sztuki?
I. Teza. Obfitość dokonań artystycznych związanych z legendą Romea i Julii. Różnorodność przyczyn niezwykłej żywotności historii kochanków. II. Argumenty. 1. Młodość, prawie dziecinność. 2. Współczucie z powodu losu zgotowanego im przez rodziców. 3. Pierwsza miłość budzi podziw i szacunek (a szczególnie miłość od pierwszego wejrzenia) 4. Żal budzi...
Przydatność 70% Dlaczego nieszczęśliwa miłość kochanków z Werony wciąż inspiruje artystów różnych dziedzin życia?
„Romeo i Julia” należy do najpiękniejszych tragedii miłosnych wszechczasów, która została napisana przez wybitnego dramaturga, buntownika przeciw klasycznym zasadom dramatycznym – Williama Szekspira. Jest to historia dwojga kochanków napotykających wiele przeciwności losu. Nieszczęśliwa miłość głównych bohaterów inspiruje pisarzy, poetów, malarzy, kompozytorów oraz...
0 odpowiada - 0 ogląda - 1 rozwiązań
1 0
rybitwa11 24.5.2012 (13:29)
rozw w zał
Załączniki
Dodawanie komentarzy zablokowane - Zgłoś nadużycie