Treść zadania

Sailor_Moon

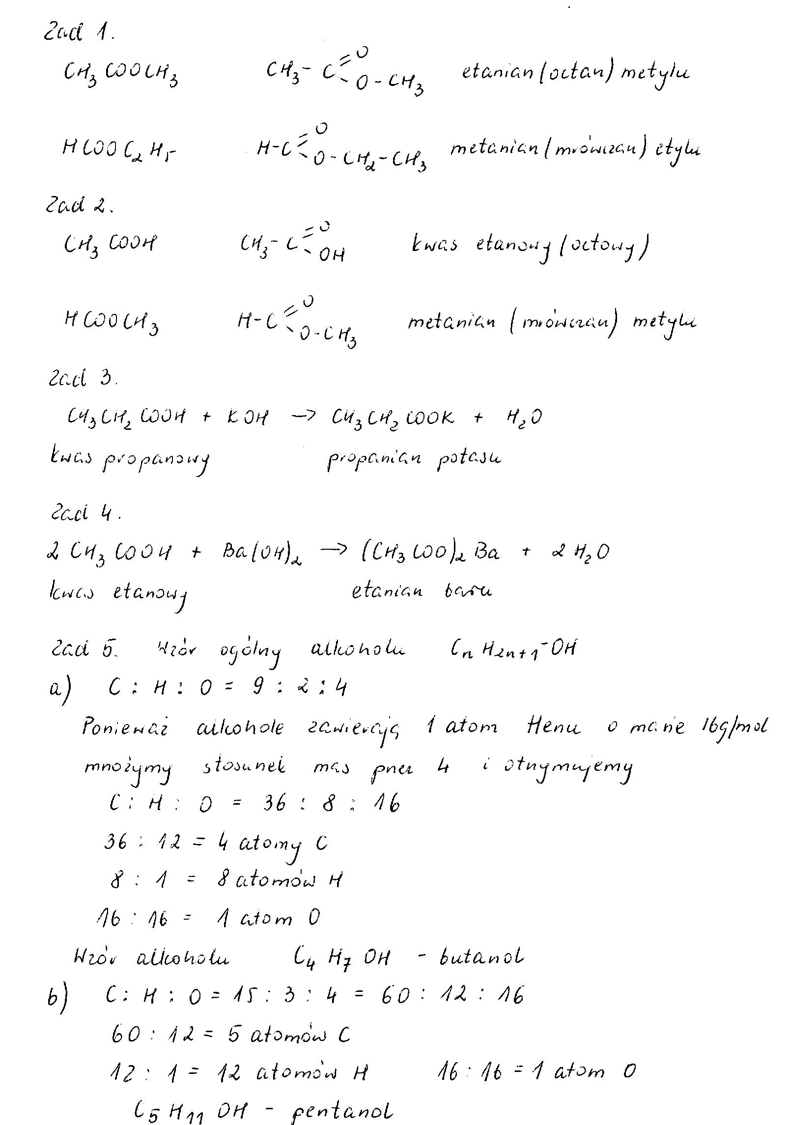
1) Dwa Estry mają taki sam wzór sumaryczny C3H6O2, napisz ich nazwy i wzory półstrukturalne.

2) Kwas karboksylowy i Ester mają wzór C2H4O2, napisz ich nazwy i wzory półstrukturalne.

3) reakcje zobojętniania kwasu propanowego wodorotlenkiem potasu

4) reakcje zobojętniania kwasu etanowego z wodorotlenkiem baru

5) Napisz wzór i nazwę alkoholu, wiedząc, że stosunek masy węgla do masy wodor i do masy tlenku wynosi:

a) 9:2:4

b) 15:3:4

6)Ułóż równania reakcji, za pomocą których można dokonać poniższych przemian:

a) etanol----->kwas octowy, kwas octowy----->octan wapnia

b)glukoza----->etanol, etanol----->kwas octowy

Zadanie jest zamknięte. Autor zadania wybrał już najlepsze rozwiązanie lub straciło ono ważność.

Najlepsze rozwiązanie

Rozwiązania

Podobne zadania

paula24 napisz równanie reakcji do następujących schematów C4H9CL ---->ROH Przedmiot: Chemia / Studia 1 rozwiązanie autor: paula24 9.6.2010 (14:33)
kasiaa38 Napisać wzory półstrukturalne związków o podanych Przedmiot: Chemia / Studia 1 rozwiązanie autor: kasiaa38 5.11.2010 (16:13)
madziulek7777 Przedstaw wzory sumaryczne i strukturalne zwiąsków chem.o nazwach a)kwas Przedmiot: Chemia / Studia 2 rozwiązania autor: madziulek7777 15.11.2010 (22:28)
agatka977 Podać nazwy aldehydów i ketonów stosowanych w kosmetyce? Przedmiot: Chemia / Studia 1 rozwiązanie autor: agatka977 4.1.2011 (17:54)
alutka2109 2.Uzgodnij równania redoks , napisz wskaz uttleniacz reduktor i reakcje Przedmiot: Chemia / Studia 1 rozwiązanie autor: alutka2109 20.1.2011 (07:31)

Podobne materiały

Przydatność 70% Kwasy- wzory i nazwy

NAZWA Hm Rn WZÓR
SOLNY HCl
SIARKOWODOROWY H2S
CYJANOWODOROWY HCN
BROMOWODOROWY HBr
JODOWODOROWY HJ
SIARKOWY (VI) H2SO4
SIARKOWY(IV) H2SO3
WĘGLOWY H2CO3
ORTOFOSFOROWY(V) H3PO4
AZOTOWY(V) HNO3
AZOTOWY(III) HNO2
CHLOROWY(I) HClO
CHLOROWY(III) HClO2
CHLOROWY(V) HClO3
CHLOROWY(VII) HClO4
MANGANOWY(VII) HMnO4
MANGANOWY(VI) H2MnO4...

Przydatność 70% Kwasy i Sole -wzory chemiczne i nazwy

Kwasy Wzór nazwa chemiczny H2SO4 Kwas siarkowy (VI) H2SO3 Kwas siarkowy (IV) HNO3 Kwas azotowy (V) HNO2 Kwas azotowy (III) H3PO4 Kwas fosforowy (V) HClO Kwas chlorowy (I) HClO2 Kwas chlorowy (III) HClO3 Kwas chlorowy (V) HClO4 Kwas chlorowy (VII) HCl(aq) Kwas chlorowodorowy HBr(aq) Kwas bromowodorowy...

Przydatność 50% Estry

Estry są to związki organiczne otrzymywane przez podstawienie wodoru grupy wodorotlenowej w alkoholach rodnikami kwasowymi ( nieorganicznymi lub organicznymi ). Estry tworzą się przez bezpośrednie działanie kwasów karboksylowych z alkoholami w obecności katalizatora ( estryfikacja ). Ogólny wzór estrów. Gdzie R1 to alki pochodzący od...

Przydatność 75% Estry

Estry Są to związki chemiczne, o bardzo szerokim zastosowaniu głównie w przemyśle kosmetycznym i spożywczym. Niezwykle rozpowszechniona w przyrodzie grupa związków powstaje w reakcji działania kwasu na alkohol. Wiele prostych estrów to ciecze o przyjemnym aromacie, które są odpowiedzialne za zapachy wielu owoców i kwiatów, np. butanian geranylu wydziela woń wiśni, walerian...

Przydatność 50% Wzory

Kinematyka V= s : t – szybkość średnia (ruch jednostajny) a= V : t – przyspieszenie (ruch przyspieszony) s= (a*t2) : 2 – droga (ruch przyspieszony) V= a*t – prędkość końcowa (ruch przyspieszony) s= 0,5 * V0 * t – droga w ruchu jednostajnie opóźnionym Dynamika F [N] – siła 1N = kg*m/s2 Fw – siła wypadkowa m [kg] – masa Fc –...

0 odpowiada - 0 ogląda - 1 rozwiązań

Dodaj zadanie

Zobacz więcej opcji