Treść zadania
Autor: ~anka Dodano: 23.5.2012 (11:37)
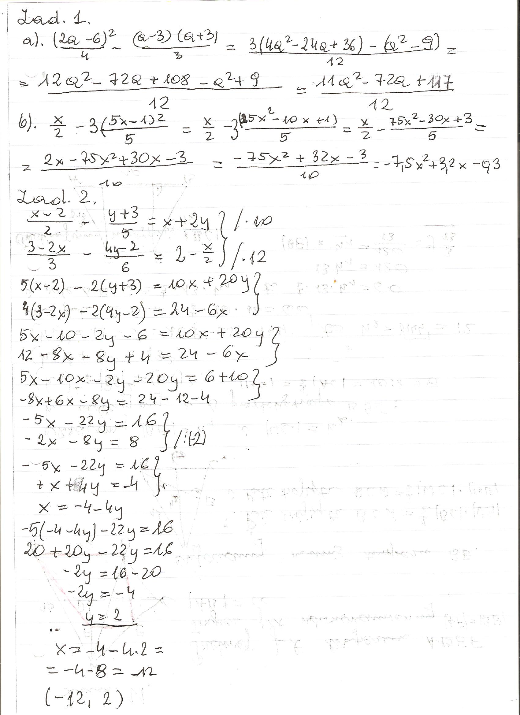
PILNE!! doprowadź do najprostszej postaci
a) ((2a√2−6)^2)/4-((a-3)(a+3))/3
b) x/2-3*((5x-1)^2)/5
2) rozwiąż układ równań
(x-2)/2 -(y+3)/5=x+2y
(3-2x)/3 -(4y-2)/6=2-(x/2) to jedno równanie jak coś
3) rozwiąż nierówność
I 4x-5I<3
4) oblicz pole i obwód rombu o przekatnych dłógosci 4 i 10
5) jakie pole ima trójkat równoboczny o wysokości 6√3
6) narysuj wykres funkcji y=3/4-x podaj monotonnosc i miejsce zerowe
7) rozwiąż nierównośc
a)25-9c^2>0
b)(n-5)^2-(4-n)^2≤0
Zadanie jest zamknięte. Autor zadania wybrał już najlepsze rozwiązanie lub straciło ono ważność.
Rozwiązania
Podobne zadania
|
|
1 rozwiązanie | autor: pako2411 14.4.2010 (17:56) |
|
|
1 rozwiązanie | autor: djmikuss 16.4.2010 (09:32) |
|
|
1 rozwiązanie | autor: nikola29 16.4.2010 (17:18) |
|
|
2 rozwiązania | autor: dalia 20.4.2010 (22:11) |
|
|
1 rozwiązanie | autor: kasiaH171 22.4.2010 (19:59) |
Podobne materiały
Przydatność 50% Postacie
Banach-matematyk, profesor Uniwesyt Lwows. Beck-polityk,szef gabinetu ministra spraw wojskowych,pracownik Piłsudskiego Beria-szef NKWD,usprawnienie pracy aparatu bezpieczeństwa,powołanie szkoły dla NKWD Budionny-marszałek ZSRR,dowódca Armii Czerwonej,umocnił i zmodernizował siły zbrojne Chamberlain-konserwatywny polityk brytyjski,premier,rzecznik ustępstw przeciw hitlerowcom...
Przydatność 55% Postacie historyczne
Władysław Bortnowski (1881-1966) Władysław Bortnowski, generał, od 1908 roku w Związku Walki Czynnej. W latach 1914-17 członek Legionów Polskich, a od 1918 roku zajmował wyższe stanowiska w Wojsku Polskim. Od 1925 roku był w służbie liniowej. W roku 1932 roku został generałem brygady, a w cztery lata później - generałem dywizji. W październiku 1938 roku stanął na czele...
Przydatność 80% Autocharakterystyka postaci.
Nazywam się Rafał. Urodziłem się w Województwie Warmińsko-Mazurskim, a dokładniej w Giżycku. Mieszkam w Łomży w domu jednorodzinnym z rodzicami, dwoma braćmi i dziadkiem. Mam 16 lat i obecnie uczęszczam do I klasy technikum Informatycznego. Jestem średniego wzrostu i wagi o brązowych włosach. Mam piwne oczy oraz jasną cerę. Ubieram się raczej luźno i na...
Przydatność 55% Barok (postacie)
Barok- kierunek w kulturze europejskiej XVII i pierwszej połowy XVIII w. Narodził się we Włoszech. Cechował go dynamizm, rozmach, przepych, odwoływanie się do uczuć odbiorcy, różnorodność i kontrastowość. Na ogół wywodzi się go z portugalskiego słowa barocco oznaczającego nieforemną perłę. Początkowo barok uważano za coś nienaturalnego, przesadnego i dziwacznego....
Przydatność 60% "Bo wykonać mi trzeba dzieło wielkie, pilne, bo z tych kruszców dla siebie serce wykuć muszę [...]" (L. Staff). Czy człowiek może być kowalem swojego
WSTĘP. A. Znane przysłowie mówi, że każdy jest kowalem swojego losu. Mądrość ludowa każe wierzyć w możliwość kreowania własnego życia, nadawania mu kształtu zbliżonego do naszych marzeń i pragnień. Przekonanie to wydaje się bliskie także L. Staffowi, którego słowa stanowią inspirację niniejszych rozważań. Poeta, czyniąc bohaterem wiersza symbolicznego kowala -...
0 odpowiada - 0 ogląda - 1 rozwiązań
0 0
rybitwa11 24.5.2012 (07:13)
rozw w zał
Załączniki
Dodawanie komentarzy zablokowane - Zgłoś nadużycie