Treść zadania
Autor: carolinaaa93 Dodano: 22.5.2012 (20:06)
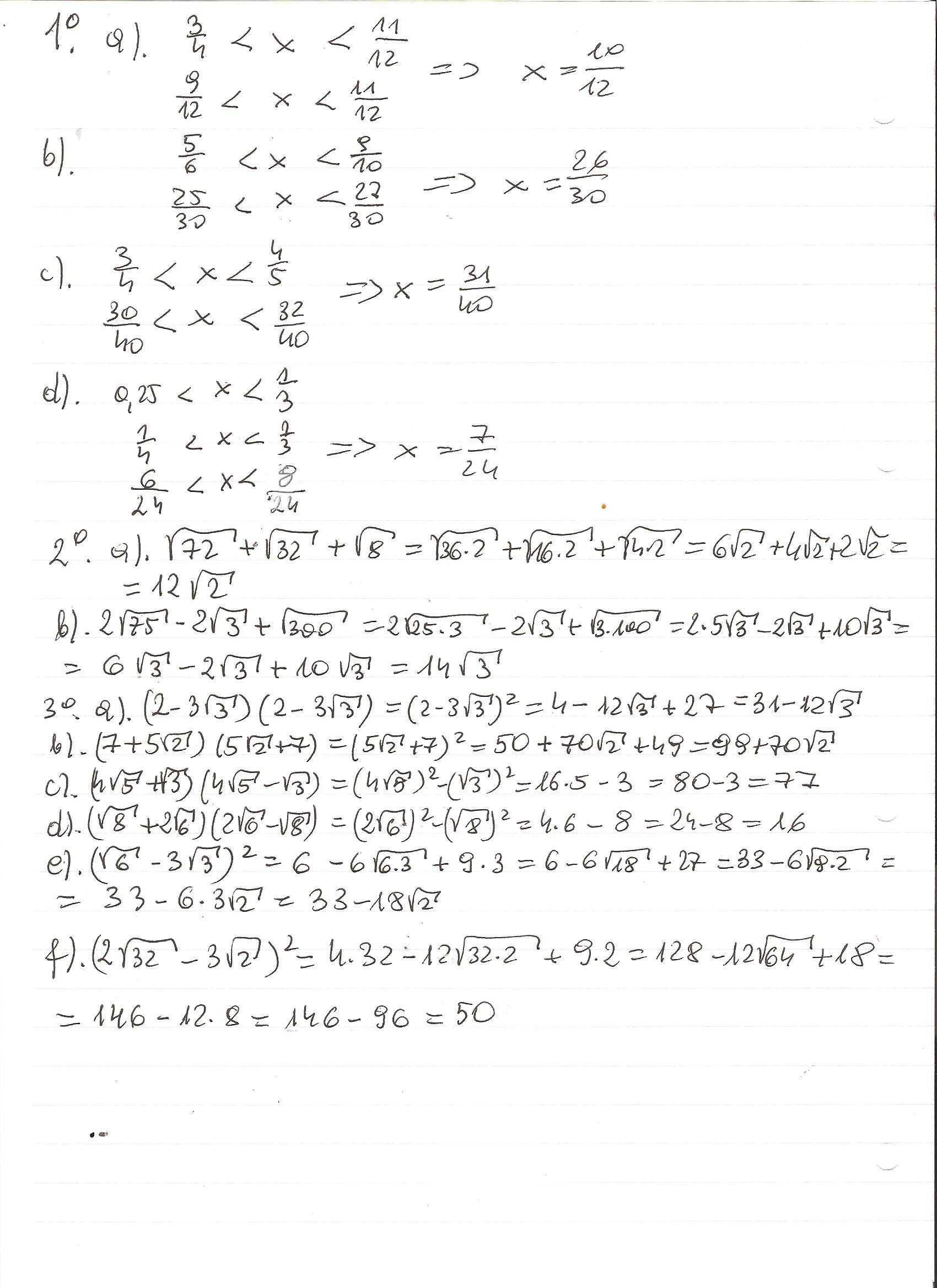
1.Podaj przykład liczby wymiernej x sepłniającej podany warunek.
a ) 3/4 < x < 11/12
b) 5/6 < x < 9/10
c) 3/4 < x <4/5
d ) 0,25 < x <1/3
2. Doprowadź wyrażenie do najprostszej postacie
a) √72+√32+√8
b) 2√75 - 2√3 +√300
3.Oblicz:
a) (2-3√3)(2-3√3)
b) ( 7+5√2 ) (5√2+7)
c) (4√5 +√3) (4√5-√3)
d) (√8+2√6) (2√6-√8)
e) (√6-3√3) do drugiej
f) (2√32-3√2)do drugiej
4.Wykonaj działania .Wynik podaj w najprostszej postaci.
a) 2(3+x)do drugiej - (2-x)do drugiej-3(2-x)(2+x)
b) (4x-3y)(4x+3y)-2(4x+3y)do drugiej + 2(3x-4y)do drugiej
5.Wyznacz wszystkie pary liczb naturalnych a i b,dla których zachodzi równość:
a do drugiej-b do drugiej=24
6.a)wykaż ,zę suma kwadratów dwóch kolejnych liczb naturalnych jest liczbą nieparzystą.
b)Wykaż, ze suma szczecianów dwóch kolejnych liczb nieparzystych jest liczbą podzielną 4.
7. Wyznacz X ,jezeli:
a) 20% liczby 30 jest równe 30%liczby X,
b)5% liczby 8 jest równe 4% liczby X,
c) 110% liczby 24 jest równe 44% liczby X.
z gróy dziękuję za pomoc :)
Zadanie jest zamknięte. Autor zadania wybrał już najlepsze rozwiązanie lub straciło ono ważność.
Najlepsze rozwiązanie
Rozwiązania
Podobne zadania
|
|
1 rozwiązanie | autor: xnika502x 6.4.2010 (16:07) |
|
|
2 rozwiązania | autor: xnika502x 6.4.2010 (16:07) |
|
|
2 rozwiązania | autor: nikola29 15.4.2010 (19:01) |
|
|
1 rozwiązanie | autor: Monika697 18.4.2010 (12:09) |
|
|
1 rozwiązanie | autor: dalia 21.4.2010 (10:37) |
Podobne materiały
Przydatność 50% Liczby
1. Liczby rzeczywiste – wszystkie liczby , które odpowiadają punktom na osi liczbowej. 2. Liczby wymierne – liczby dające przedstawić się za pomocą ułamka p/q , gdzie p jest dowolną liczbą całkowitą, a q jest dowolną liczbą naturalną ( np. 1/7, 3 ½,- 32/5 , 0, -2,6 , 5 (3), 3. Liczby niewymierne – liczby nie dające się zapisać w postaci ułamka zwykłego ( np. 3, 5,...
Przydatność 50% Liczby
Liczby pierwsze Liczbę naturalną, która ma dokładnie dwa dzielniki, nazywamy liczbą pierwsza. Liczb pierwszych jest nieskończenie wiele. Znajdowanie ich nie jest jednak łatwe. Od pewnego czasu używa się do tego komputerów. Największa znana dziś liczba pierwsza została odkryta w lipcu 2001 roku przez Michaela Camerona i George'a Woltmana ma postać 213466917-1. Ma ona aż 4...
Przydatność 60% Podanie
Alek Koza Kołobrzeg, 7 maja 2004 ul. Fiaskusa 3 78-100 Kołobrzeg Rektor wydziału matematycznego Uniwersytetu Jagiellońskiego Podanie Zwracam się z uprzejmą prośbą o przyjęcie mnie na stanowisko asystenta wykładowcy przedmiotu matematyka stosowana. Prośbę swą motywuję tym, że praca ta stanowiłaby dużą pomoc przy pisaniu pracy doktoranckiej....
Przydatność 70% Podanie
Dane osobowe 1 marca 2007 Płock Do Dyrektora Teatru Dramatycznego w Płocku, P. Jana Nowaka PODANIE Zwracam się z prośbą o wypożyczenie kostiumów dla aktorów grających w przedstawieniu „Antygona”. Potrzebne będą stroje dla osób odtwarzających role Hajmona, Antygony i Kreona. Moją prośbę chciałabym...
Przydatność 70% Podanie
Jan Nowak Bydgoszcz,06.03.2008 ul. Baczyńskiego 7 85-822 Bydgoszcz Redaktor Naczelny Gazetki Szkolnej ?Cosik? przy...
0 odpowiada - 0 ogląda - 1 rozwiązań
2 0
rybitwa11 23.5.2012 (04:41)
rozw w załącznikach
Załączniki
Dodawanie komentarzy zablokowane - Zgłoś nadużycie