Treść zadania
Autor: elcia13op Dodano: 21.5.2012 (14:30)
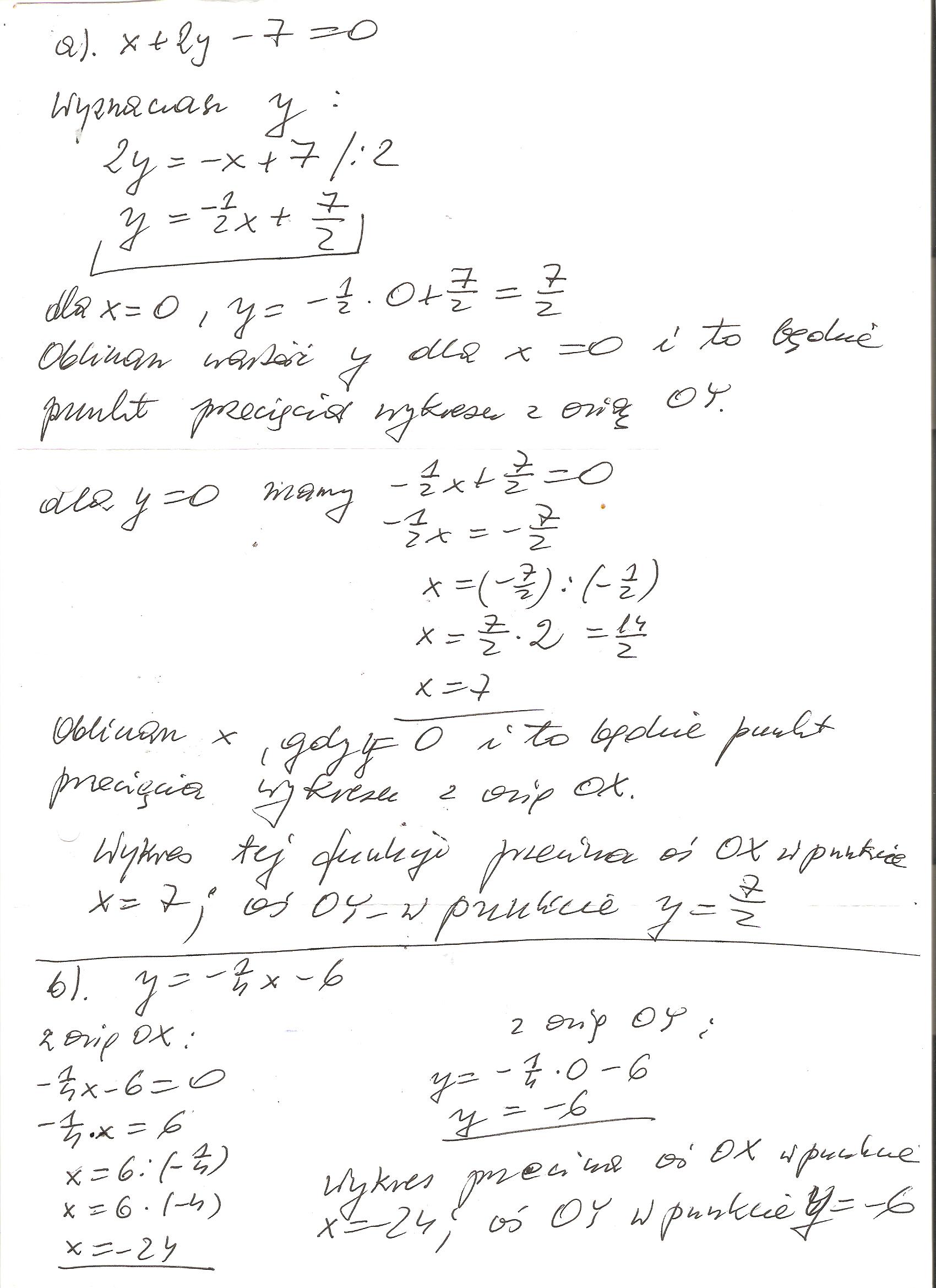
Wyznacz miejsca zerowe oraz współrzędne punktów przecięcia się wykresów funkcji z osiami układu współrzędnych gdy fukcja dana jest wzorem:
a) x+2y-7=0
b) y=-1/4x-6
PROSZĘ Z WYJAŚNIENIEM JAK TO SIĘ ROBI;)
Zadanie jest zamknięte. Autor zadania wybrał już najlepsze rozwiązanie lub straciło ono ważność.
Rozwiązania
Podobne zadania
|
|
2 rozwiązania | autor: MartaGrzeszczak1 29.3.2010 (17:43) |
|
|
2 rozwiązania | autor: nikola29 15.4.2010 (19:01) |
|
|
1 rozwiązanie | autor: kleopatra_1992 16.4.2010 (19:58) |
|
|
1 rozwiązanie | autor: lukaszunkile 18.4.2010 (16:16) |
|
|
1 rozwiązanie | autor: kamcia07-15 18.4.2010 (20:35) |
Podobne materiały
Przydatność 50% Miejsca zerowe Funkcji Kwadratowej
zad 5,7 5,8 5,9 str 293 podręcznik I klasa liceum Prosto do matury: M. Antek, K. Belka, P. Grabowski zad 5,7 Suma kwadratów trzech kolejnych liczb parzystych jest równa 56. Wyznacz te liczby. zad 5,8 Ile boków ma wielokąt, który ma 104 przekątne? zad 5,9 Obwód rombu jest równy 116 cm, a różnica długości jego przekątnych równa się 2 cm. Oblicz długości...
Przydatność 65% List, w którym wyznacze cele na nowy rok szkolny.
Przysietnica 02.09.2009 Angeliko! Pierwszego września rozpoczęłam nowy rok szkolny. Pamiętam, że jest to dzień szczególny, także z powodu siedemdziesiątej rocznicy wybuchu II Wojny Światowej. Wiem, że wtedy wiele dzieci ie mogło...
Przydatność 60% Walec, ostroslup, graniastoslup, funkcje, miejsce zerowe (mat. na spr)
1. Pole powierzchni walca Pc=2Pp+Pb Pc=2πr²+2πrH 2. Objętość walca V=Pp•H V=πr²•H 3. Objętość ostrosłupa V=⅓Pp•H Pc=Pp+Pb 4. Objętość i pole graniastosłupa V=Pp•H Pc=Pp+Pb 5. Bryłami obrotowymi nazywamy bryły, powstałe w wyniku obrotu figur płaskich wokół osi obrostu. 6. Funkcja Jeżeli dane są dwa zbiory X i Y i każdemu...
Przydatność 50% Opis miejsca- Torquay
I would like to describe a place called Torguay. This lovely and very interesting town is situated in south- west part of England. It lies at the sea cost and it is surrounded with blue sea water. Torquay has been one of the UK’s top holiday destinations since Victorian Times. It was the Victorians who first used the Riviera name to describe their favourite resort and their legacy remains...
Przydatność 100% Adverbs of place - przysłówki miejsca.
Miejsca: in- w [ np. Ubrania znajdują się w szafie- Clothes are in the wardrobe] on- na [ np. Na choince jest gwiazdka-On tree is a star] next to- obok [np. Szkoła jest obok kina- The school is next to cinema] between-pomiędzy [np.Pomiędzy dwoma psami siedzi kot-Between two dogs,cat sitting] under- pod [np.Pod ulicami jest metro-Under streets is a metro] above-nad [np.Nad ziemią...
0 odpowiada - 0 ogląda - 1 rozwiązań
2 0
rybitwa11 21.5.2012 (15:03)
rozw w zał
Załączniki
Dodawanie komentarzy zablokowane - Zgłoś nadużycie