Treść zadania

~Chmielnicka Paulina

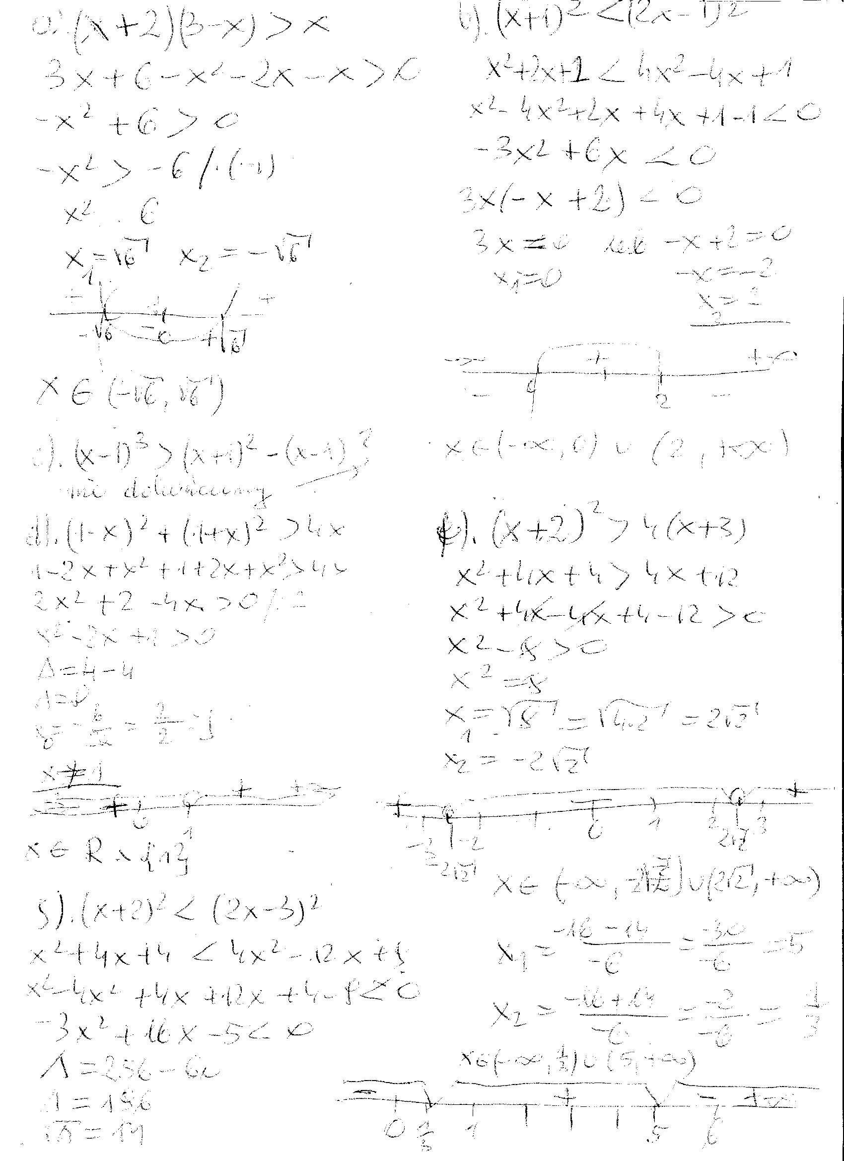
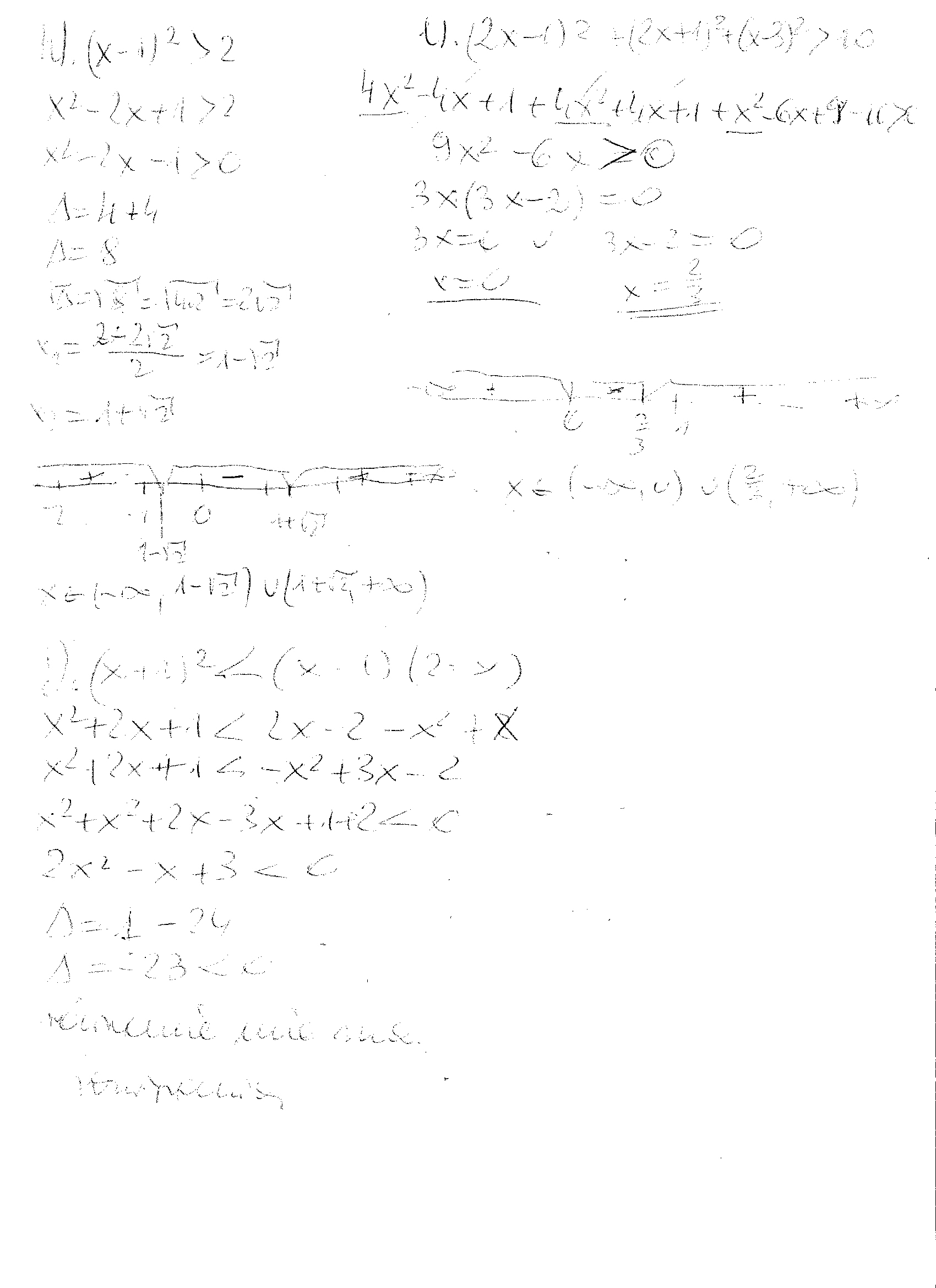
Rozwiaz nierównosci a)(x+2)(3-x)>x b)(x+1)^2<(2x-1)^2 c)(x-1)^3>(x+1)^2-(x-1)^ d)(1-x)^2+(1+x)^2>4x F)(x+2)^2>4(x-3) g)(x+2)^2<(2x-3)^2 h)(x-1)^2>2 I)(2x-1)^2+(2x+1)^2+(x-3)^2>10 j)(x+1)^2<(x-1)(2-x)

Zadanie jest zamknięte. Autor zadania wybrał już najlepsze rozwiązanie lub straciło ono ważność.

Rozwiązania

Podobne zadania

echiko rozwiaz rownanie 2+3(x-1)/8 < lub= 3- x-1/4 Przedmiot: Matematyka / Liceum 2 rozwiązania autor: echiko 8.9.2010 (21:58)
patryk18_18 rozwiaz rownania Przedmiot: Matematyka / Liceum 2 rozwiązania autor: patryk18_18 16.9.2010 (18:13)
mira31130 Zad.5 Rozwiaz nierownosc: (3x do kwadratu-5x+2)(3-2x)do kwadratu(9-x) <o Przedmiot: Matematyka / Liceum 1 rozwiązanie autor: mira31130 10.10.2010 (16:27)
natalia_ustianowska Rozwiaz rownania i nierownosci A) (8x+16)=32 Przedmiot: Matematyka / Liceum 2 rozwiązania autor: natalia_ustianowska 8.10.2010 (11:21)
mira31130 Zad.5 Rozwiaz nierownosc: (3x do kwadratu-5x+2)(3-2x)do kwadratu(9-x) <o Przedmiot: Matematyka / Liceum 1 rozwiązanie autor: mira31130 10.10.2010 (11:42)

0 odpowiada - 0 ogląda - 1 rozwiązań

Dodaj zadanie

Zobacz więcej opcji