Treść zadania

xxxpatixxD

Proszę o rozwiązanie zadania, jutro mam z tego poprawe a kompletnie tego nie rozumiem.

Załączniki do zadania

Zadanie jest zamknięte. Autor zadania wybrał już najlepsze rozwiązanie lub straciło ono ważność.

Rozwiązania

  • userphoto

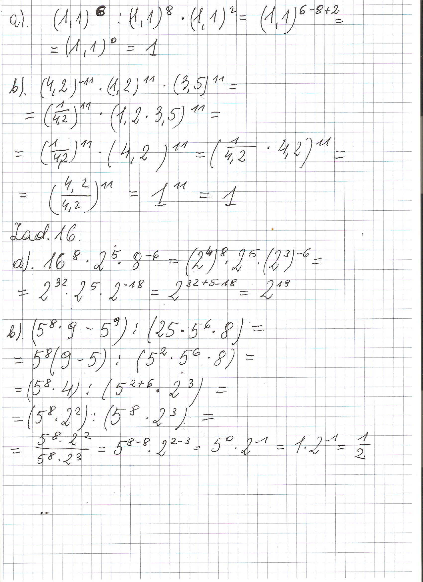
    jeśli są te same podstawy (jak w przykładzie a) przy mnożeniu dodaje się wykładniki, a przy dzieleniu odejmuje. Zachować należy kolejność wykonywania działań.

    Jeśli są te same wykładniki (jak w przykładzie b) należy wziąć je wszystkie w nawias i podnieść go do potęgi wykładnikowej;)

    Dodam jeszcze, że jeżeli potęga jest ujemna liczbę należy odwrócić;)

    Załączniki

  • rybitwa11

    rozw w zał

    Załączniki

Podobne zadania

Edytka8 2 zadania tekstowe - Czas . Przedmiot: Matematyka / Szkoła podstawowa 2 rozwiązania autor: Edytka8 7.4.2010 (14:26)
Edytka8 2 zadania tekstowe - obliczanie Przedmiot: Matematyka / Szkoła podstawowa 4 rozwiązania autor: Edytka8 7.4.2010 (19:38)
Ada Pomóznie w zadaniu na jutro !! Przedmiot: Matematyka / Szkoła podstawowa 3 rozwiązania autor: Ada 14.4.2010 (17:37)
iwona34 zadania tekstowe Przedmiot: Matematyka / Szkoła podstawowa 1 rozwiązanie autor: iwona34 14.4.2010 (18:06)
madzialena360 ratunku zadanie na jutro !! Przedmiot: Matematyka / Szkoła podstawowa 1 rozwiązanie autor: madzialena360 14.4.2010 (18:39)

Podobne materiały

Przydatność 55% Bankowośc zadania

POSIADAM JESZCZE INNE MATERIAŁY Z BANKOWOŚCI I NIE TYLKO

Przydatność 70% Zadania wahadłowców

Promy kosmiczne, zwane też wahadłowcami lub samolotami kosmicznymi, są pierwszymi pojazdami wielokrotnego użytku przeznaczonymi do podróży poza naszą planetę. Startują z powierzchni Ziemi na podobieństwo rakiety kosmicznej, po wejściu na orbitę stają się sztucznymi satelitami, a gdy kończą zadanie, lądują z powrotem na ziemskim globie niczym gigantyczny szybowiec. Już sama...

Przydatność 80% Zadania sekretariatu

Zadania sekretariatu Głównym zadaniem sekretariatu jest odciążenie kierownika z uciążliwych administracyjno - biurowych i techniczno ? usługowych spraw które są bardzo drobne. W strukturze firmy sekretariat nie ma charakteru merytorycznego lecz usługowy. W sekretariacie może być zatrudnionych kilka osób ale najczęściej jest to komórka jednoosobowa (zatrudniony to sekretarka lub...

Przydatność 50% Zadania spedytora

Zadania spedytora: - Spedytor zobowiązany jest wykonywać swoje czynności zgodnie z przyjętym zleceniem. - Spedytor jest zobowiązany do odbioru przesyłki w przypadku gdy brakuje właściwych dokumentów. - Spedytor odbierając przesyłkę jest zobowiązany sprawdzić czy przesyłka dostarczona została w stanie nienaruszonym. - Spedytor nie ma obowiązku sprawdzać zgodność...

Przydatność 60% Opis Krzysia M.E.Letki "Jutro znów pójdę w świat. - Listy"

Bohater utworu M. E. Letki ”Jutro znów pójdę w świat. Listy” to Krzyś. Chłopiec ma 11 lat i jest osobą niepełnosprawną, chodzi o kuli. Jego zainteresowaniem jest kolekcjonowanie znaczków, chciałby się z kimś podzielić swoją pasją. Krzyś nie uczęszcza na lekcje wychowania fizycznego, ponieważ jest cienkim chuchrem. Ma z tego powodu same kompleksy i wstydzi się swojej...

0 odpowiada - 0 ogląda - 2 rozwiązań

Dodaj zadanie

Zobacz więcej opcji