Treść zadania

~BedacywPotrzebie

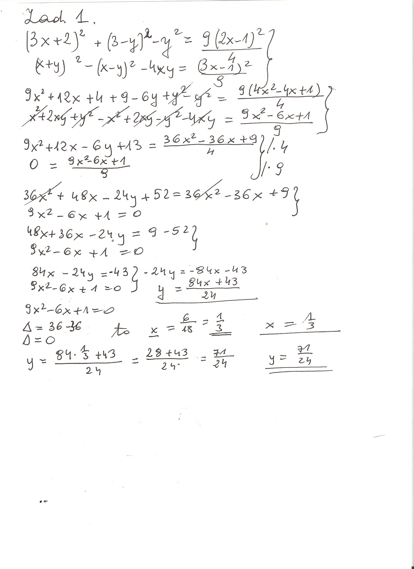
1. Rozwiaz uklad rownan.

(3x+2)^2+(3-y)^2-y^2=9(2x-1)^2/4

(x+y)^2-(x-y)^2+y^2-4xy=(3x-1)^2/9

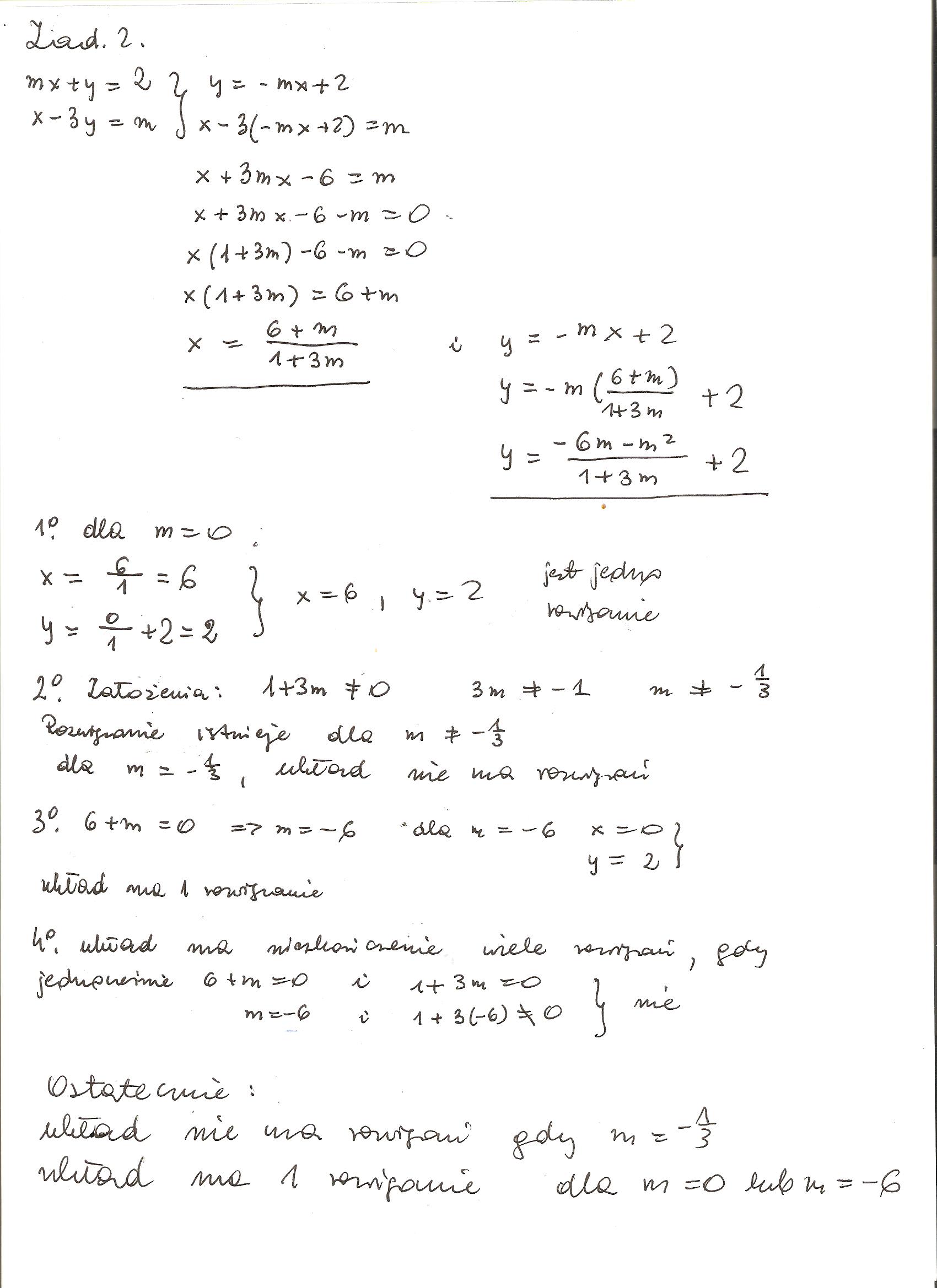
2. Zbadaj liczbe rozwiazan ukladu w zaleznosci od parametru m.

mx+y=2
x-3y=m

3. Rozwiaz graficznie uklad rownan.

-x-y=-3
-x+y=-2

4. Rozwiaz uklad nierownosci.

-2+y-x<0
-x+y+3>0

Bardzo prosze o pomoc

Zadanie jest zamknięte. Autor zadania wybrał już najlepsze rozwiązanie lub straciło ono ważność.

Rozwiązania

Podobne zadania

echiko rozwiaz rownanie 2+3(x-1)/8 < lub= 3- x-1/4 Przedmiot: Matematyka / Liceum 2 rozwiązania autor: echiko 8.9.2010 (21:58)
patryk18_18 rozwiaz rownania Przedmiot: Matematyka / Liceum 2 rozwiązania autor: patryk18_18 16.9.2010 (18:13)
mira31130 Zad.5 Rozwiaz nierownosc: (3x do kwadratu-5x+2)(3-2x)do kwadratu(9-x) <o Przedmiot: Matematyka / Liceum 1 rozwiązanie autor: mira31130 10.10.2010 (16:27)
natalia_ustianowska Rozwiaz rownania i nierownosci A) (8x+16)=32 Przedmiot: Matematyka / Liceum 2 rozwiązania autor: natalia_ustianowska 8.10.2010 (11:21)
mira31130 Zad.5 Rozwiaz nierownosc: (3x do kwadratu-5x+2)(3-2x)do kwadratu(9-x) <o Przedmiot: Matematyka / Liceum 1 rozwiązanie autor: mira31130 10.10.2010 (11:42)

Podobne materiały

Przydatność 60% Uklad Hormonalny

Odpowiedzialny za podstawowe procesy życiowe organizmu. Może hamować lub wzmagać czynność komórek.Wpływa na funkcje organizmu poprzez przekaźniki chemiczne,czyli hormony.W zależności od miejsca powstania i budowy hormony dzieli się na 2 grupy: 1)peptydowe; 2)steroidowe powstałe z cholesterolu. Hormony peptydowe działają na komórkę za pomocą receptorów umieszczonych w...

Przydatność 50% Uklad pokarmowy

UKŁAD POKARMOWY (trawienny) składa się z przewodu pokarmowego oraz gruczołów. Cechuje go zdolności do wytwarzania enzymów trawiennych ? rozkładających wiązania chemiczne w substancjach pokarmowych. Służy do pobierania pokarmu, jego trawienia, wchłaniania składników odżywczych i usuwania niestrawionych resztek. UKŁAD ODDECHOWY składa się z dróg oddechowych i płuc,...

Przydatność 50% Uklad ośrodkowy, rdzeń, mózg

Osrodkowy uklad nerwowy jest zbudowany z istoty szarej i bialej.Istote szara tworza perikariony neuronow, a istote biala - peczki wypustek komorek nerwowych. W mozgu istota szara stanowi czesc obwodowa, a pod nia lezy istota biala, w rdzeniu kregowym jest odwrotnie. Mozgowie dzieli sie na : kresomozgowie, miedzymozgowie, srodmozgowie, mozdzek i rdzen przedluzony. Kresomozgowie skupia...

Przydatność 65% Uklad okresowy pierwiastków

Układ okresowy pierwiastków zwany jest również Tablicą Mendelejewa. Dymitr Mendelejew, który żył w latach (1834 – 1907) był to rosyjski chemik, profesor chemii technicznej i nieorganicznej uniwersytetu w Petersburgu, członek Polskiej Akademii Umiejętności. Ten wybitny człowiek jest twórcą Prawa Okresowości w 1869r. Zaproponował graficzne zestawienie...

Przydatność 60% Cechy organizmu żywego, kom eukariotyczna, budowa kom zwierzęcej, mitochondrium, etapy oddychania wew kom, budowa i funkcje jądra kom, biosynteza białka, tkanki i ich podział, odżywianie człowieka, uklad pokarmowy, trawienie, trawienie cukrów i t

Cechy organizmu żywego: -odżywianie; -rozmnażanie; -wydalanie; -oddychanie; -wzrost; -reakcje na bodźce; -poruszanie się(nie wszystkie organizmy żywe). Wszystkie organizmy żywe zbudowane są z komórek. Teorię kom. Stworzyli dwaj niemieccy naukowcy. W wyniku ewolucji powstały organizmy kolonijne oraz wielokom. obok pierwotnych jednokom.. Wszystkie organizmy żywe char. zespół...

0 odpowiada - 0 ogląda - 1 rozwiązań

Dodaj zadanie

Zobacz więcej opcji