Treść zadania
Autor: ~Przemek92 Dodano: 23.4.2012 (14:25)
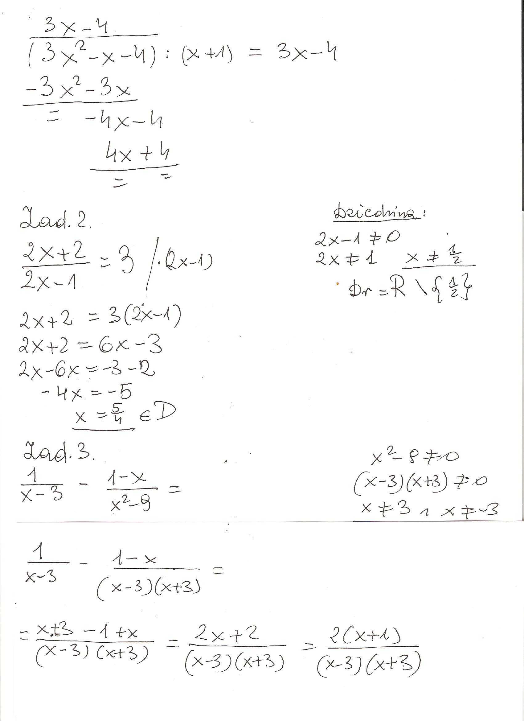
Zad 1
wykonaj dzielenie wielomianow
(3x²-x-4):(x+1)
Zad 2 rozwiąż równanie
2x+2
-------- = 3
2x-1
Zad 3 uprość wyrażenie
1 1-x
--- - ------ =
x-3 x²-9
Kto pomoże z góry dzięki :)
Zadanie jest zamknięte. Autor zadania wybrał już najlepsze rozwiązanie lub straciło ono ważność.
Rozwiązania
Podobne zadania
|
|
2 rozwiązania | autor: jagoda9407 22.4.2010 (19:47) |
|
|
1 rozwiązanie | autor: Klaudia3701 10.5.2010 (16:11) |
|
|
5 rozwiązań | autor: werakonie 29.8.2010 (18:00) |
|
|
1 rozwiązanie | autor: knowme8 7.9.2010 (21:51) |
|
|
1 rozwiązanie | autor: ola1997 9.9.2010 (16:04) |
Podobne materiały
Przydatność 70% Liczby wymierne(Dzielenie)
ILORAZ DWÓCH LICZ O RÓŻNYCH ZNAKACH JEST LICZBĄ UJEMNĄ A ILORAZ DWÓCH LICZ O TAKICH SAMYCH ZNAKACH JEST LICZBĄ DODATNIĄ. NP: -54:9=-6 JEŚLI MAMY NIEPARZYSTĄ LICZBĘ LICZB UJEMNYCH WTEDY WYMIK BĘDZIE UJEMNY, GDY MAMY PARZYSTĄ LIECZBĘ LICZB UJEMNYCH WYNIK ZAWSZE BEDZIE DODATKI -8:(-2)=4 -8:2=-4
Przydatność 60% Wykonaj opis sytuacji będąc Jagienką - polowanie na niedźwiedzia.
Jest późne popołudnie. Wchodzę do lasu, gdyż wiem, że gdzieś tutaj jest sam Zbyszko. Mam zamiar pomóc w polowaniu na niedźwiedzia. W lesie panuje dziwna atmosfera, trudno ją określić. Moja stopa, którą stawiam na ziemi, łamie coś co przypomina zwierzęcą kość. Słońce zaczyna zachodzić, gdyż robi się czerwone. Nad moją głową latają kruki, które kraczą złowieszczo....
Przydatność 50% Wykonaj gazetke z wydarzeniami z lat 1918 do 1939 - referat
Wszystko zamieszczone w zalacznikach na poczatku jako pierwsza str powinien isc dok. o tyt. okladka, potem strona z trescia, nastepnie gazeta coroczna (oczywiscie tytul gazety jest inny) i na koncu dok o tyt. zdjecia na referat hist
Przydatność 80% Wykonaj zestawienie dochodów i wydatków swojej gminy(miasta)
Podobnie jak każde gospodarstwo domowe, tak i Miasto Gdynia wydaje pieniądze na różne cele. W gospodarstwie domowym wydajemy pieniądze według reguł, które sami ustalamy i oczywiście w zależności od posiadanych środków. Z reguły najwięcej przeznaczamy na życie, czyli na żywność i bieżące opłaty tj. czynsz, energię, telefon, abonament radiowo-telewizyjny, ubezpieczenie,...
Przydatność 50% Formatowanie dysku twardego i dzielenie go na partycje
Formatowanie dysku twardego i dzielenie go na partycje oraz rozpoczęcie instalacji systemu operacyjnego 1. Potrzebna nam będzie płyta CD instalacyjna Windows’a oraz dyskietka systemowa Windows’a. a) Tworzenie dyskietki systemowej: Start / Panel sterowania / Dodaj/usuń Programy zakładka Dysk startowy Utwórz dysk wkładamy „czystą”, odbezpieczoną dyskietkę...
0 odpowiada - 0 ogląda - 1 rozwiązań
1 0
rybitwa11 23.4.2012 (16:19)
rozw w zał
Załączniki
Dodawanie komentarzy zablokowane - Zgłoś nadużycie