Treść zadania
Autor: Sailor_Moon Dodano: 19.4.2012 (14:58)
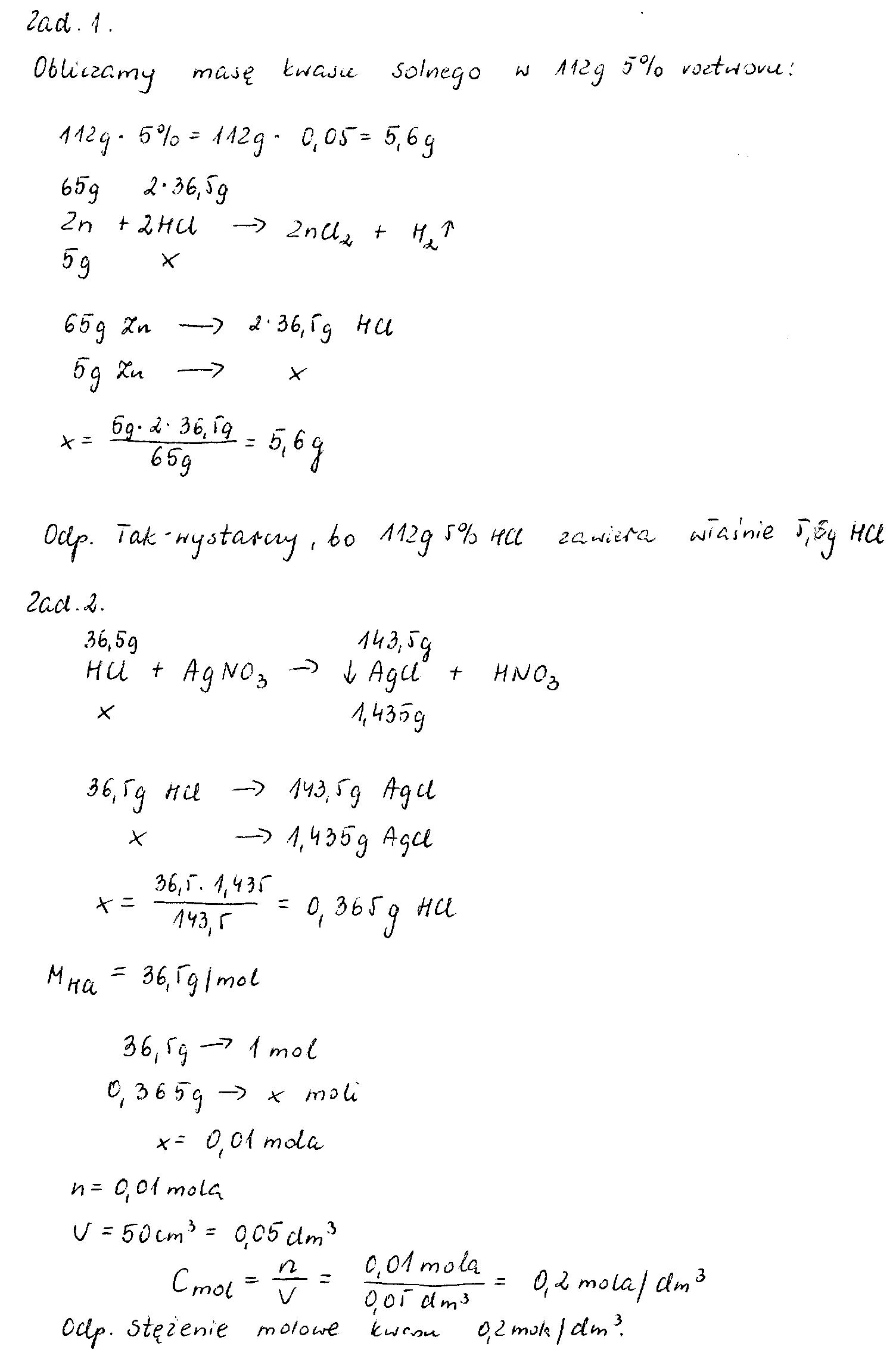
1.Czy wystarczy 112g 5% HCl do rozpuszczena 5g Zn?
2.Do 50cm3 HCl dolano AgNO3, masa osadu wynosi 1,435g, oblicz steżenie molowe kwasu.
Zadanie jest zamknięte. Autor zadania wybrał już najlepsze rozwiązanie lub straciło ono ważność.
Najlepsze rozwiązanie
Rozwiązania
Podobne zadania
|
|
1 rozwiązanie | autor: maoliwka05310 29.10.2010 (22:08) |
|
|
1 rozwiązanie | autor: lucyna345 11.1.2012 (20:30) |
|
|
1 rozwiązanie | autor: ola991 19.1.2012 (12:55) |
|
|
2 rozwiązania | autor: Sailor_Moon 10.5.2012 (12:06) |
|
|
1 rozwiązanie | autor: ~AniaxDD 5.12.2016 (12:21) |
Podobne materiały
Przydatność 50% Woda - Czy wystarczy jej dla wszystkich?
W niektórych rejonach świata zapotrzebowanie na świeżą, czystą wodę przekracza dostępne zasoby. Przyczyna jest prosta: mnóstwo ludzi mieszka na pustynnych bądź półpustynnych terenach, na których od dawna jej brakuje. Według Sztokholmskiego Instytutu Ochrony Środowiska aż jedna trzecia ludności świata żyje na obszarach dotkniętych umiarkowanym lub ostrym niedoborem wody. A...
Przydatność 80% "Wystarczy być" Jerzy Kosiński.
„Rośliny są jak ludzie; potrzebują miłości, aby żyć, pokonywać choroby i umierać w spokoju. A jednak różnią się od ludzi. Nie umieją rozmyślać o sobie ani zgłębiać swej istoty; nie istnieje lustro, w którym mogłyby się przejrzeć; wszystko, co robią, robią nieświadomie: rosną mimo woli, a ponieważ nie potrafią rozumować ani marzyć, ich rozwój pozbawiony jest...
Przydatność 85% Aby wypełnić ludzkie serce, wystarczy walka prowadząca ku szczytom.
Uważam, że człowiek to istota, która wciąż prowadzi zaskakującą niejednokrotnie grę z życiem, mając nadzieję na spełnienie swych marzeń i wielkie zakończenie w atmosferze triumfu. Niestety zywot człowieka jest najczęściej nasycony nierównomiernie większym cierpieniem od szcześcia, które jak sztandar w ostatecznym już starciu wyrywamy losowi. Jednak ciągłe zaspokajanie...
Przydatność 55% Dlaczego, jak twierdzi Heraklit, "nie wystarczy dużo wiedzieć, aby być mądrym"?
Czy naprawdę, jak twierdzi Heraklit, "nie wystarczy dużo wiedzieć, aby być mądrym"? Postaram się wyjaśnić te słowa. Są osoby, które wiedzą bardzo dużo, można powiedziec, że "pozjadały wszystkie rozumy" i są mądre. Są też tacy, którzy wiedzą bardzo mało i również są mądrzy. I zarazem są tacy, którzy są odwrotnością powyższych...
Przydatność 100% Skomentuj wypowiedź jednego z rodziców: „Aby wychowywać nie wystarczy mieć rację. Trzeba kochać”
Uważam, że ta wypowiedź jest jak najbardziej słuszna. Dzieci w okresie dorastania potrzebują miłości i zrozumienia, które oczekują otrzymać od ludzi dorosłych, a najbardziej od rodziców. To oni są dla nich przykładem i wzorem do naśladowania i choć czasami nie potrafią okazać im swojej miłości, to tak naprawdę w głębi serca bardzo mocno ich kochają i liczą na ich pomoc....
0 odpowiada - 0 ogląda - 1 rozwiązań
3 0
ewka13 23.4.2012 (22:44)
Rozwiązanie w załączniku :
Załączniki
Dodawanie komentarzy zablokowane - Zgłoś nadużycie