Zaliczaj.pl
Liceum » Matematyka
Dodaj do ulubionych Drukuj
Autor: ~robert Dodano: 11.4.2012 (09:51)
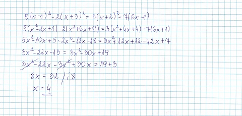
5(x+1)^2-2(x+3)^2=3(x+2)^2-7(6x-1)
Zgłoś nadużycie
Zadanie jest zamknięte. Autor zadania wybrał już najlepsze rozwiązanie lub straciło ono ważność.
1 0
klara88 11.4.2012 (11:21)
rozwiązanie w załączniku
Dodawanie komentarzy zablokowane - Zgłoś nadużycie
0 odpowiada - 0 ogląda - 1 rozwiązań
Zobacz więcej opcji
1 0
klara88 11.4.2012 (11:21)
rozwiązanie w załączniku
Załączniki
Dodawanie komentarzy zablokowane - Zgłoś nadużycie