Treść zadania
Autor: light1122 Dodano: 27.3.2012 (13:07)
1. Wyznacz równanie prostej przechodzacej przez punkt A równoległej do prostej
- y=-x+2^2, A=(0;8).
- y=3^2x-3, A=(0;1)
2.Dla jakich wartosci parametru m funckja f jest:
- malejaca? f(x)=(-m-3)x+1
- rosnąca? f(x)=(-m+2)x+7
3. Dla jakich argumentów funkcja y=2x-1 przyjmuje wartosci:
- nie wiekszą od 1
- nie mniejszą od 8
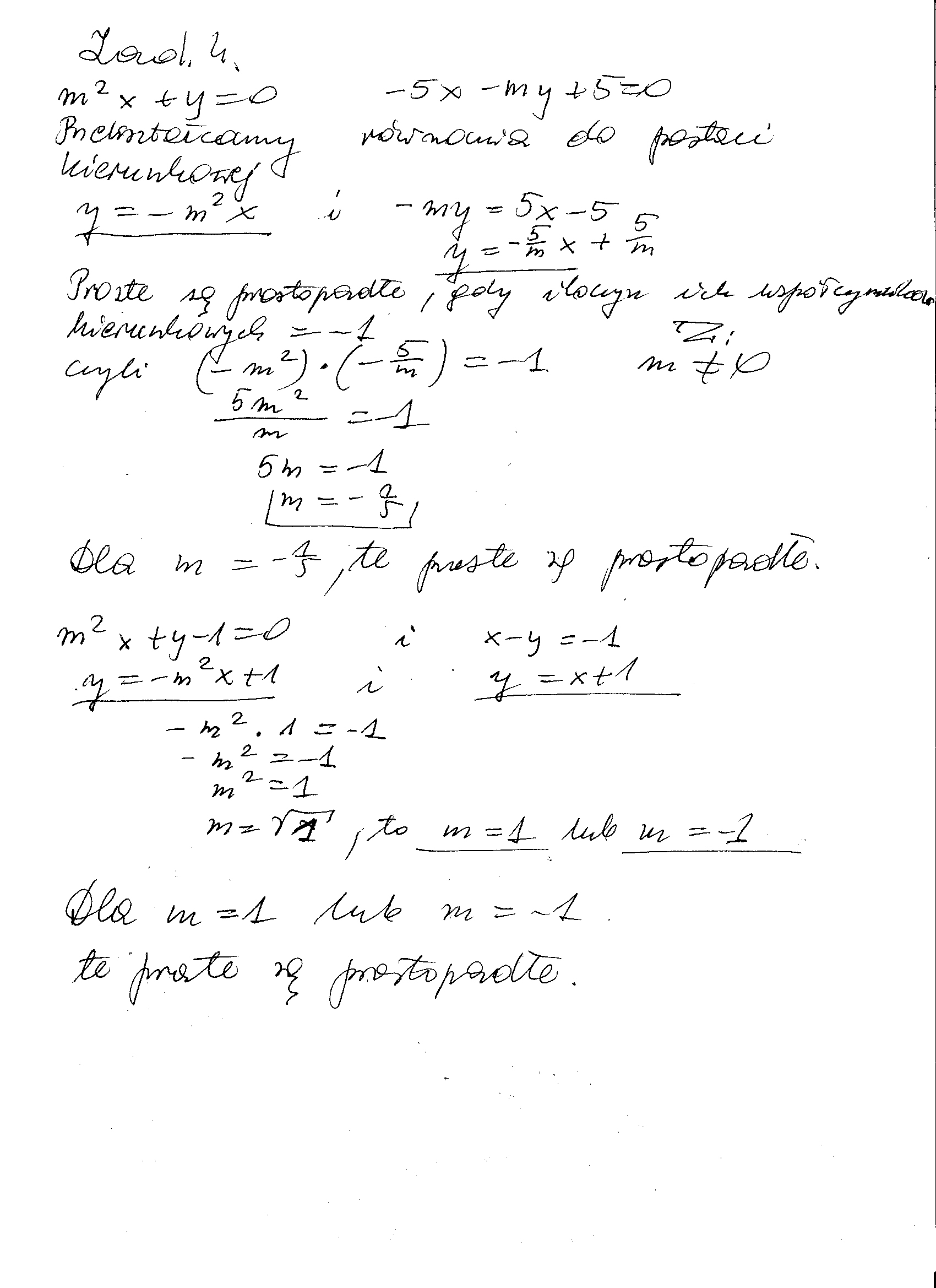
4. Dla jakiego parametru m proste sa prostopadle
- m^2x+y=0, -5x-my+5=0
- m^2x+y-1=0, x-y=-1
Proszę o pomoc.
Zadanie jest zamknięte. Autor zadania wybrał już najlepsze rozwiązanie lub straciło ono ważność.
Rozwiązania
Podobne zadania
|
|
2 rozwiązania | autor: agata96 28.3.2010 (21:46) |
|
|
1 rozwiązanie | autor: kamilka033 6.4.2010 (16:17) |
|
|
1 rozwiązanie | autor: rose95 13.4.2010 (14:27) |
|
|
2 rozwiązania | autor: Zuz4 18.4.2010 (09:02) |
|
|
1 rozwiązanie | autor: szaraczek14 21.4.2010 (17:21) |
Podobne materiały
Przydatność 75% Alzheimer - genetyczny punkt widzenia.
Skrycie atakująca choroba Alzheimera powoduje nieustanne pogarszanie się pamięci i utratę kontroli nad podstawowymi funkcjami organizmu. W większości cierpią na nią osoby po siedemdziesiątce, ci zaś, którzy dożywają jej końcowych stadiów, w miarę powolnego zaniku czynności mózgu tracą zdolność mówienia, chodzenia, a nawet unoszenia głowy. Choroba daje o sobie znać...
Przydatność 65% List, w którym wyznacze cele na nowy rok szkolny.
Przysietnica 02.09.2009 Angeliko! Pierwszego września rozpoczęłam nowy rok szkolny. Pamiętam, że jest to dzień szczególny, także z powodu siedemdziesiątej rocznicy wybuchu II Wojny Światowej. Wiem, że wtedy wiele dzieci ie mogło...
Przydatność 85% Coming out - wszystko o homoseksualizmie w prostej wersji.
‘’COMING OUT’’ Czy orientacja seksualna naprawdę jest nie do zmiany? Orientacja seksualna oznacza preferowaną płeć partnera seksualnego. Jest to program wpisany w ośrodkowy układ nerwowy. Póki co, nie ma żadnych metod, żeby ten program zmienić. Człowiek rodzi się albo heteroseksualny, albo homoseksualny, albo...
Przydatność 60% "Punkt widzenia zależy od punktu siedzenia".
W pełni zgadzam się z założonym twierdzeniem, iż „punkt widzenia zależy od punktu siedzenia”. Uważam, że stanowisko, czy pozycja w jakiej się znajdujemy nie jest bez znaczenia dla naszych poglądów, lub decyzji. Ludzie zachowujący się dwulicowo uznawani są przez większość społeczeństwa za istny margines społeczny, który potocznie trzeba „tępić”. Z pewnością nie...
Przydatność 50% Punkt widzenia Józefa, jak go potraktowali bracia.
Mam na imię Józef i jestem siedemnastolatkiem. Całą rodziną mieszkaliśmy w Kanaanie. Ja i moi bracia pasaliśmy trzodę. Jako najmłodszy syn byłem ulubieńcem ojca i bracia zazdrościli mi, że ojciec kocha mnie bardziej niż ich. Pewnego razu ojciec podarował mi szatę z rękawami, a wtedy bracia znienawidzili mnie. Którejś nocy przyśniło mi się, że...
0 odpowiada - 0 ogląda - 1 rozwiązań
2 0
rybitwa11 27.3.2012 (14:45)
rozw w zał
Załączniki
Dodawanie komentarzy zablokowane - Zgłoś nadużycie