Treść zadania
Autor: bone Dodano: 24.3.2012 (12:02)
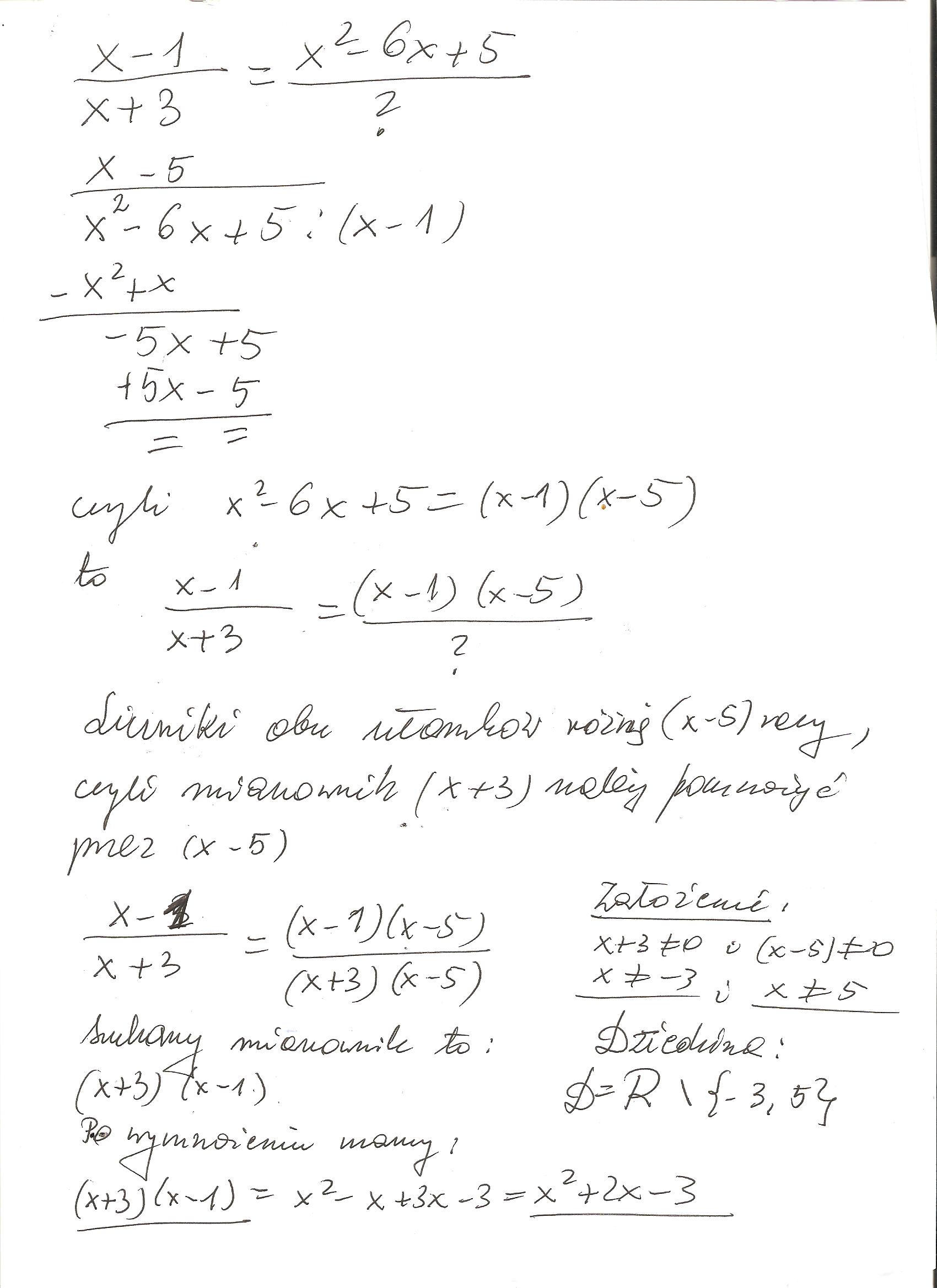
Rozszerz wyrażenie tak aby otrzymać wyrażenie o wskazanym mianowniku (liczniku), określ dziedzinę otrzymanego wyrażenia:
x-1 ........... x^2 -6x +5
----- = ---------------
x+3.......[pusto]
Zadanie jest zamknięte. Autor zadania wybrał już najlepsze rozwiązanie lub straciło ono ważność.
Rozwiązania
Podobne zadania
|
|
2 rozwiązania | autor: bibcia123 5.11.2010 (13:56) |
|
|
1 rozwiązanie | autor: goslawa37 18.11.2010 (11:13) |
|
|
1 rozwiązanie | autor: goslawa37 24.11.2010 (18:18) |
|
|
2 rozwiązania | autor: goslawa37 24.11.2010 (18:21) |
|
|
1 rozwiązanie | autor: Izabela123 15.10.2011 (13:38) |
0 odpowiada - 0 ogląda - 1 rozwiązań
2 0
rybitwa11 24.3.2012 (12:25)
rozw w zał
Załączniki
Dodawanie komentarzy zablokowane - Zgłoś nadużycie