Treść zadania
Autor: Sailor_Moon Dodano: 24.3.2012 (09:37)
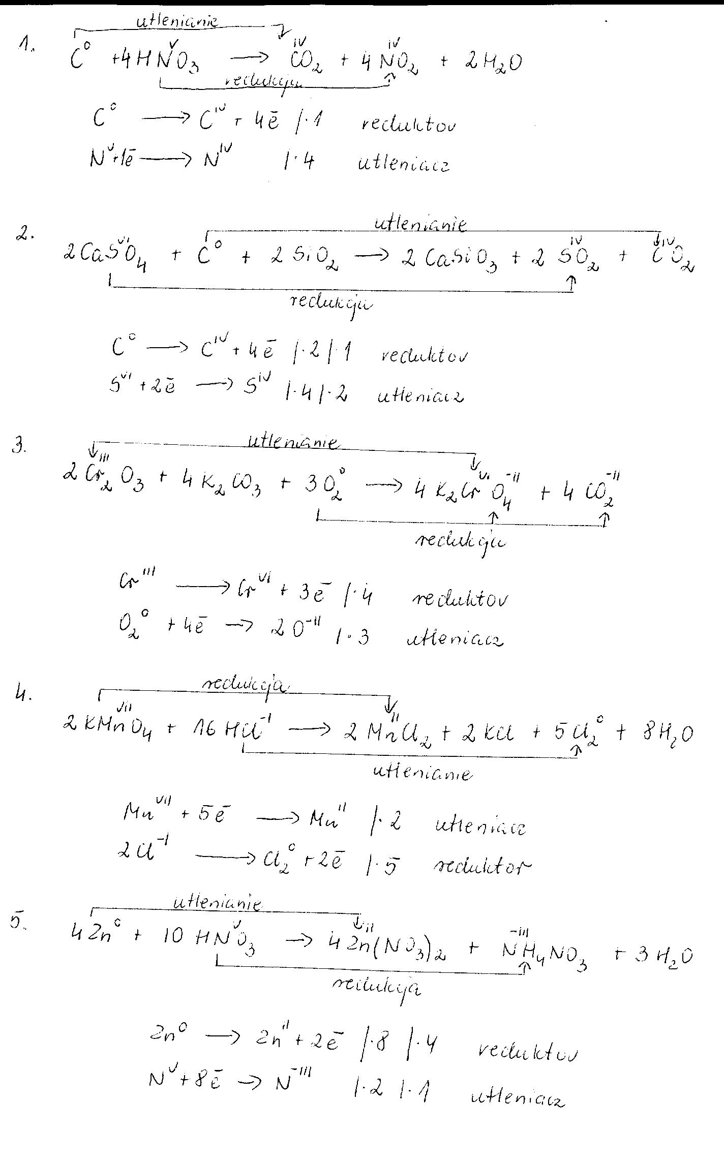
Oznacz stopnie utlenienia wszystkich atomow oraz dobierz wspolczynniki stechiometryczne do ponizszych reakcji red-ox metoda bilansu elektronowego.
...C+...HNO3 -> ...CO2+...NO2+...H2O
...CaSO4+...C+...SiO2 -> ...CaSiO3+...SO2+...CO2
...Cr2O3+...K2CO3+...O2 -> ...K2CrO4+...CO2
...KMnO4+...HCl -> ...MnCl2+...KCl+...Cl2+...H2O
...Zn+...HNO3 -> ...Zn(NO3)2+...NH4NO3+...H2O
Zadanie jest zamknięte. Autor zadania wybrał już najlepsze rozwiązanie lub straciło ono ważność.
Najlepsze rozwiązanie
Rozwiązania
Podobne zadania
|
|
1 rozwiązanie | autor: czikita94 11.9.2010 (12:34) |
|
|
2 rozwiązania | autor: alutka2109 19.1.2011 (21:47) |
|
|
2 rozwiązania | autor: alutka2109 20.1.2011 (07:41) |
|
|
1 rozwiązanie | autor: aszak 18.6.2011 (16:43) |
|
|
1 rozwiązanie | autor: Shazza 26.9.2011 (16:39) |
Podobne materiały
Przydatność 70% Reguły ustalania stopni utlenienia
1. Pierwiastki w stanie wolnym występują na zerowym stopniu utlenienia. (0) 2. Metale w związkach chemicznym występują zawsze na dodatnim stopniu utlenienia, zgodnym z wartościowością. 3. Fluor w związkach chemicznych występuje zawsze na -I stopniu utlenienia. 4. Wodór najczęściej występuje na +I stopniu utlenienia. Wyjątek stanowią wodorki metali, gdzie występuje na...
Przydatność 55% Stopnie Wojskowe
Przełożonym w wojsku,jest osoba zajmująca wyższe stanowisko bez względu na stopień wojskowy. Starszym jest który ma wyższy stopień wojskowy. Korpus szeregowy -szeregowy -starszy szeregowy Korpus Podoficerski -kapral } -starszy kapral }podoficerowie mlodsi -plutonowy } -sierżant ] -starszy sierżant ] podoficerowie starsi...
Przydatność 80% Stopnie wojskowe
Stopnie wojskowe w załączniku!
Przydatność 55% Jądro atomowe
Jądro atomowe zbudowane jest z nukleonów tzn dodatnio naładowanych protonów i elektrycznie obojętnych neutronów. Siły jądrowe (oddziaływanie silne) są około 100 razy większe od sił oddziaływania elektrostatycznego. Mają na ogół charakter powodujący wzajemne przyciąganie się nukleonów. Właściwości siły jądrowej: - krótki zasięg 2 10-15 metra - niewielki zasięg...
Przydatność 50% Elektrownie atomowe
Rozwój techniki w drugiej połowie XIX wieku i powstanie ogromnej ilości urządzeń elektrycznych wymusił rozwój elektrowni, których zadaniem jest dostarczać prąd elektryczny do poszczególnych odbiorców. Elektrownie mogą pobierać energię potrzebną do wytworzenia prądu z różnych źródeł. Mogą być to elektrownie cieplne, które ciepło wytworzone podczas spalania paliw...
0 odpowiada - 0 ogląda - 1 rozwiązań
4 0
ewka13 25.3.2012 (21:02)
Rozwiązanie w załącznikach :
Stopnie utlenienia atomów pierwiastków ,które nie biorą udziału w reakcji redoks podano osobno ,aby nie zaciemniać samej reakcji.
Załączniki
Dodawanie komentarzy zablokowane - Zgłoś nadużycie