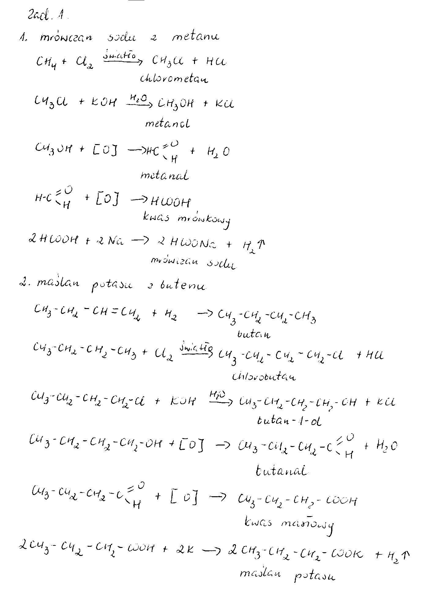
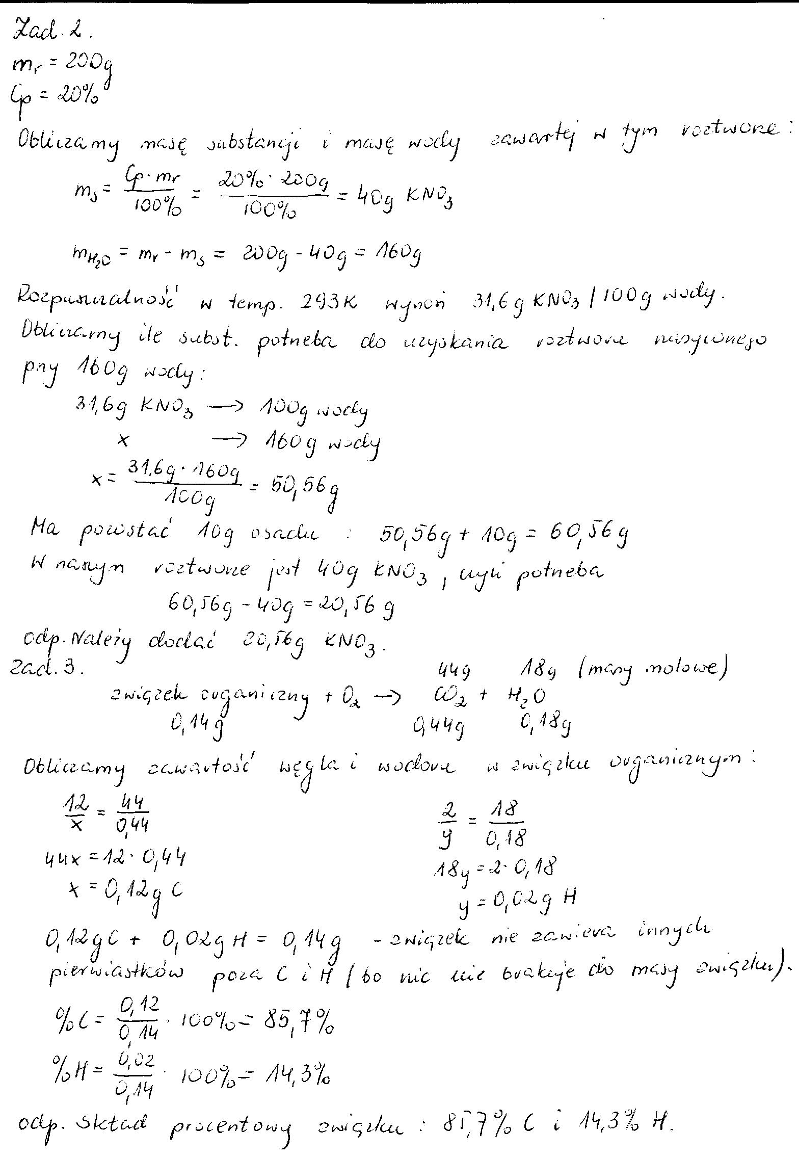
Treść zadania

Sailor_Moon

Chemia klasa III

Załączniki do zadania

Zadanie jest zamknięte. Autor zadania wybrał już najlepsze rozwiązanie lub straciło ono ważność.

Najlepsze rozwiązanie

Rozwiązania

Podobne zadania

zania344 Chemia na już ;/ Przedmiot: Chemia / Studia 1 rozwiązanie autor: zania344 18.5.2010 (00:11)
zania344 ;/ chemia ;/ Przedmiot: Chemia / Studia 1 rozwiązanie autor: zania344 18.5.2010 (00:12)
asiaaczek22 witaminy stosowane w kosmetyce.... pomocy głupia chemia Przedmiot: Chemia / Studia 1 rozwiązanie autor: asiaaczek22 2.10.2010 (20:56)
UNIHEHE CHEMIA - BARDZO PROSZĘ O POMOC - PILNE Przedmiot: Chemia / Studia 2 rozwiązania autor: UNIHEHE 26.5.2011 (22:47)
maoliwka05310 chemia Przedmiot: Chemia / Studia 1 rozwiązanie autor: maoliwka05310 7.6.2011 (09:03)

Podobne materiały

Przydatność 50% Chemia

Atom węgla o hybrydyzacji sp2 dysponuje trzema orbitalami zhybrydyzowanymi, które leżą na jednej płaszczyźnie (XY), kąt pomiędzy nimi wynosi 120o. Czwarty orbital atomu węgla pozostaje niezhybrydyzowany i jest prostopadły do płaszczyzny w której leżą orbitale zhybrydyzowane: Orbitale 2s i 2p atomu węgla, stan podstawowy orbitale zhybrydyzowane atomu węgla, oraz...

Przydatność 55% Klasa szkolna

Klasa szkolna jest grupą wtórną, utworzoną w sposób formalny dla celów głównie dydaktycznych. Jednakże, gdy przekształca się w grupę nieformalną, może mieć ogromny wpływ na jednostkę. Grupy nieformalne stanowią pewną odmianę grup pierwotnych. Jednostka należy do nich na zasadzie wspólnych zainteresowań, dobrowolnie członkowie kontaktują się za sobą często i...

Przydatność 55% Chemia nieorganiczna

Dawne teorie o związkach organicznych. To przekonanie, że związków organicznych nie można otrzymać z pierwiastków w pracowni, że mogą one powstać tylko w organizmach żywych w wyniku działania specjalnej siły życiowej. Teorię tę obalił Wahler. Występowanie węgla w przyrodzie: a.) położenie węgla w ukł. okresowym - leży w IV grupie i II okresie - jest...

Przydatność 75% Chemia alkoholu

Najważniejszym przedstawicielem alkoholi jest powszechnie znany i spożywany ETANOL o wzorze: C2H5OH. Zarówno etanol, jak i metanol są bezbarwnymi cieczami o prawie takim samym, charakterystycznym zapachu i słodkawym, piekącym smaku. Oba alkohole rozpuszczają się w wodzie bez ograniczeń (czyli mieszają się z wodą w każdym stosunku). Uniwersalny papierek wskaźnikowy (i...

Przydatność 65% Chemia - ściąga

Atom najmniejsza część pierwiastka zachowująca jego własności. Składa się z jądra o dod. ład. złożonego z neutronu oraz powłok elektr. z elektronami o ład. ujemnym . Jadro atomu stanowi całk.masę atomu i wchodzi w jego skład cząstki element. Proton i neutron posiadają masę , a pozostałe – energie jądrową Atomy mogą łączyć się między sobą. Mol – jt ilość...

0 odpowiada - 0 ogląda - 1 rozwiązań

Dodaj zadanie

Zobacz więcej opcji