Zaliczaj.pl
Liceum » Matematyka
Dodaj do ulubionych Drukuj
Autor: ~piotrek Dodano: 22.3.2012 (12:25)
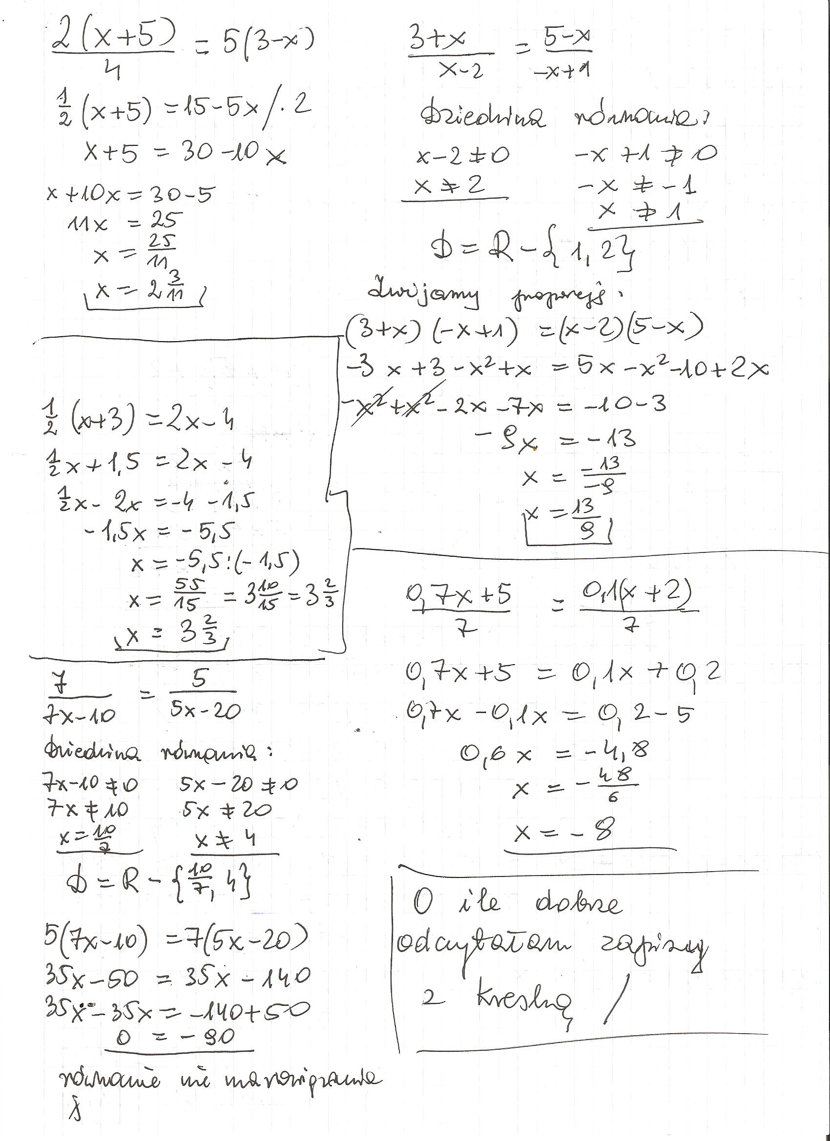
2(x+5)/4=5(3-x) 3+x/x-2=5-x/-x+1 1/2(x+3=2x-4 7/7x-10=5/5x-20 0,7x+5/7=0,1(x+2/7
Zgłoś nadużycie
Zadanie jest zamknięte. Autor zadania wybrał już najlepsze rozwiązanie lub straciło ono ważność.
1 0
rybitwa11 22.3.2012 (14:35)
rozw w zał
Dodawanie komentarzy zablokowane - Zgłoś nadużycie
0 odpowiada - 0 ogląda - 1 rozwiązań
Zobacz więcej opcji
1 0
rybitwa11 22.3.2012 (14:35)
rozw w zał
Załączniki
Dodawanie komentarzy zablokowane - Zgłoś nadużycie