Treść zadania

Matto

Proszę o pomoc w tyn zadaniu

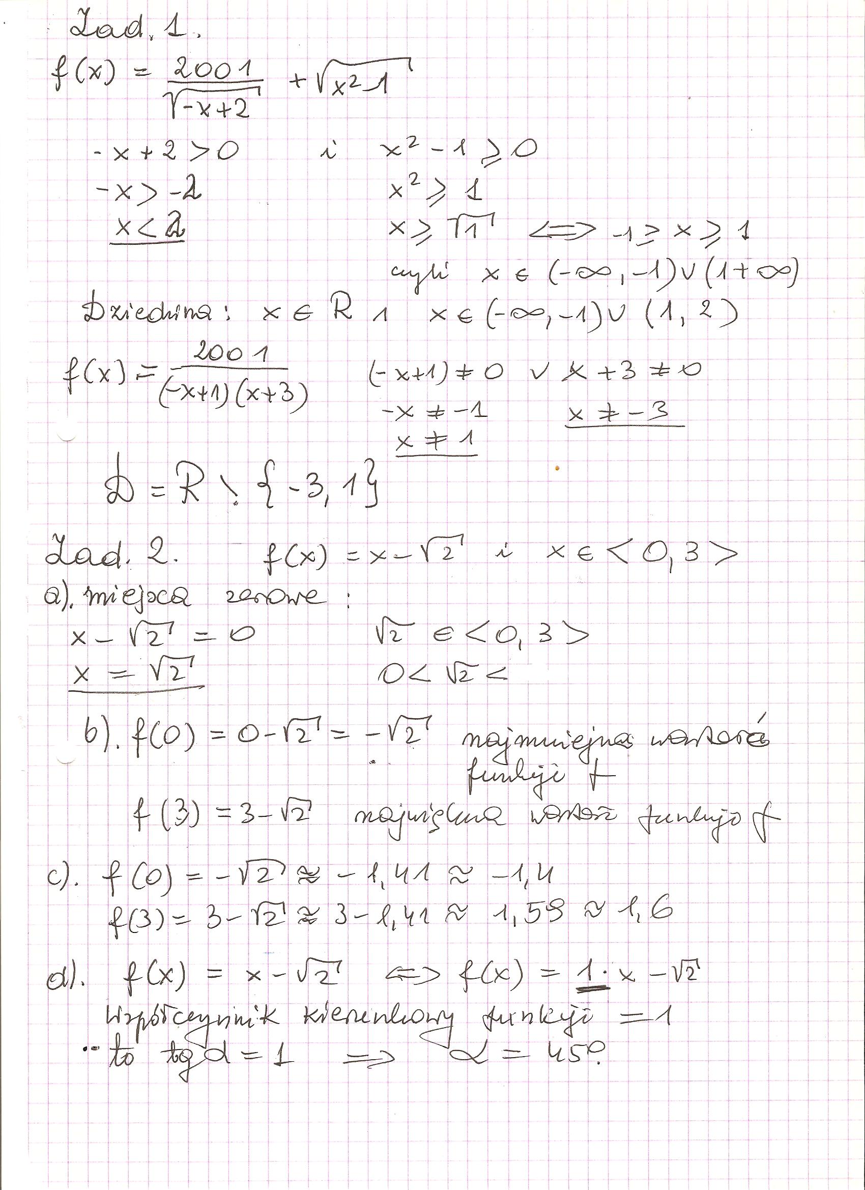
1.Wyznacz dziedzinę funkcji określonej wzorem

f(x)= 2001/√-x+2 + √x² -1

f(x)=2001/(-x+1)(x+3)

2.Dana jest funkcja f określona wzorem f(x)= x-√ 2 i xE {0;3} .

a) Wyznacz miejsca zerowe funkcji f. b) Wyznacz najmniejszą i największą wartość funkcji f.

c) Oblicz przybliżoną wartość z dokładnością do 0,1.

d) Podaj kąt nachylenia wykresu funkcji f do dodatniej części osi OX.

3.Rysunek przedstawia wykres funkcji f.

a) Wyznacz dziedzinę i zbiór wartości funkcji f. b)

Dla jakich wartości argumentów funkcja f przyjmuje wartości niedodatnie.

c) Określ przedziały monotoniczności funkcji f.

d) Wyznacz miejsca zerowe funkcji f.


Jeśli tekst jest nieczytelny to jest podane zadanie w załączniku

Prosiłbym o jak najszybszą odpowieć

Załączniki do zadania

Zadanie jest zamknięte. Autor zadania wybrał już najlepsze rozwiązanie lub straciło ono ważność.

Rozwiązania

Podobne zadania

MartaGrzeszczak1 Dany jest trójkąt o wierzchołkach A=(-4, 2) B=(0,4) C=(6,-4) a) wyznacz Przedmiot: Matematyka / Liceum 2 rozwiązania autor: MartaGrzeszczak1 29.3.2010 (17:43)
Nieznany Wypisz własności funkcji y=cos x Przedmiot: Matematyka / Liceum 1 rozwiązanie autor: Konto usunięte 8.4.2010 (18:17)
mania1408-k1 proszę o pomoc zadania na jutro. Przedmiot: Matematyka / Liceum 2 rozwiązania autor: mania1408-k1 13.4.2010 (16:43)
mania1408-k1 proszę o pomoc zadania na jutro. Przedmiot: Matematyka / Liceum 1 rozwiązanie autor: mania1408-k1 13.4.2010 (16:49)
nikola29 wyznacz wszystkie liczby a i b dla których równanie ax - 4b = 2x = 8 nie Przedmiot: Matematyka / Liceum 2 rozwiązania autor: nikola29 15.4.2010 (19:01)

Podobne materiały

Przydatność 50% Klasyfikacja dziedzin przemyslu(sciąga)

Klasyfikacja dziedzin przemyslu : 1.Przemysl wydobywczy 2.Przemysl przetwórczy a)energetyczny b)metalurgiczny c)elektromaszynowy -metalowy -maszynowy -samochodowy(ś.t) (ś.t) znaczy: -stoczniowy(ś.t) przem.środków -lotniczy(ś.t) transportu -taboru kolejowego(ś.t) d)chemiczny -chemiczny ciężki -chemiczny lekki Jfarmaceutyczny...

Przydatność 80% Pierwsza pomoc - pomoc przedmedyczna

Pierwsza Pomoc Przedmedyczna Pierwsza pomoc przedmedyczna to czynności ratownika (osoby udzielającej pierwszą pomoc) prowadzące do zabezpieczenia i utrzymania przy życiu osoby poszkodowanej, do czasu przyjazdu wykwalifikowanych służb. Etapy pierwszej pomocy 1. ocena sytuacji 2. zabezpieczenie miejsca zdarzenia 3. ocena stanu poszkodowanego 4. wezwanie pomocy - 999 ? Pogotowie...

Przydatność 60% Minimalizacja funkcji logicznych

Minimalizacja funkcji logicznych

Przydatność 55% Gradient funkcji. Różniczka zupełna

Gradient funkcji. Różniczka zupełna

Przydatność 60% Własności funkcji liniowej

Jest to prezentacja multimedialna Mspp2003 mojego autorstwa spakowana w archiwum winrara. Osobiście robiłem ją na 4 z matmy także jest okej. Pozdrawiam

0 odpowiada - 0 ogląda - 1 rozwiązań

Dodaj zadanie

Zobacz więcej opcji