Treść zadania

dzichader

Witam, muszę dokończyć reakcje i zaznaczę moją próbę rozwiązania /X/ . Będę wdzięczny zarówna za pomoc jak i kompletne rozwiązanie.
Węglowodory jednofunkcyjne:
-OH =O
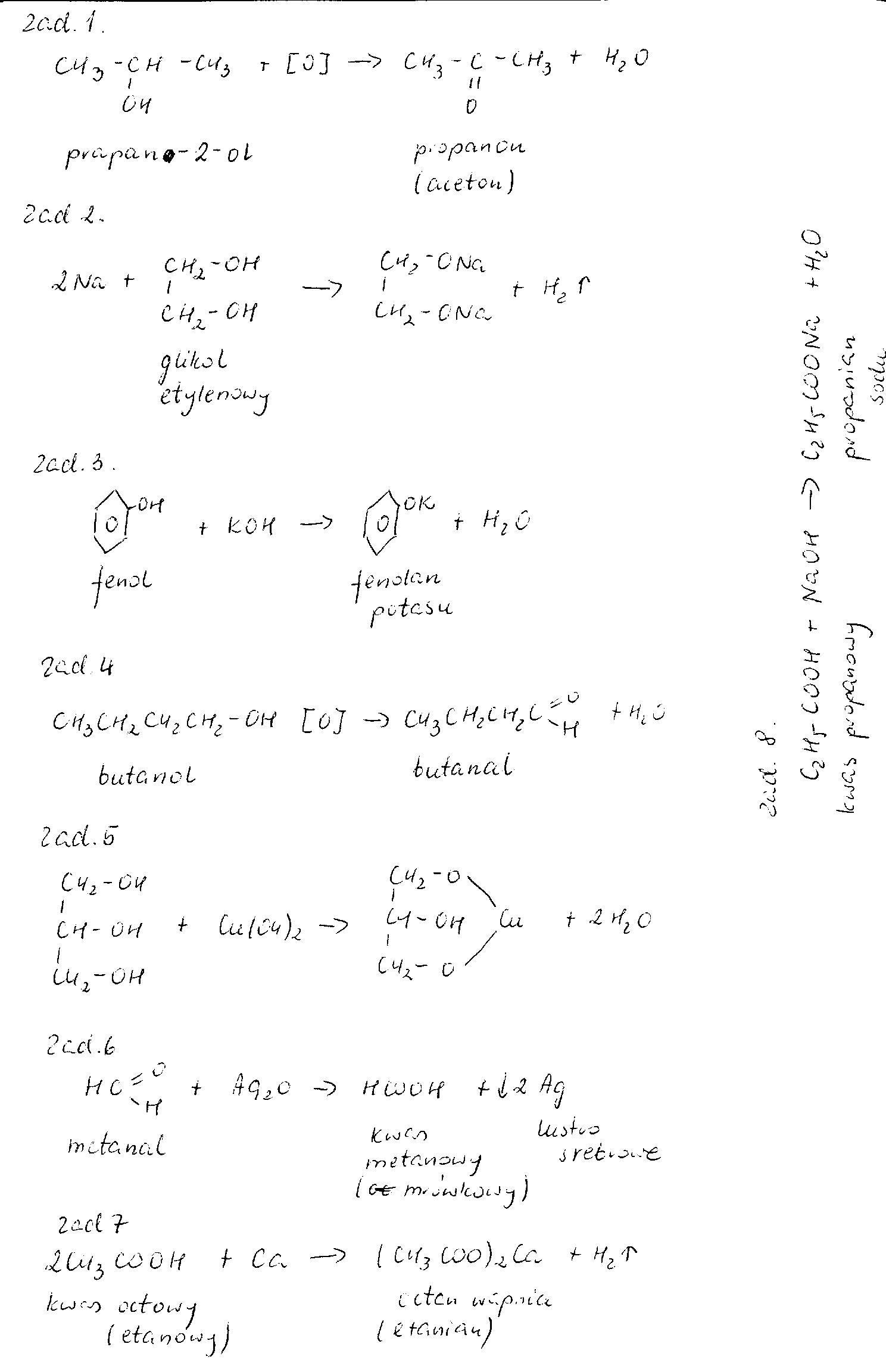
1) Ch3-Ch-Ch3 + [O] =>/ H2O +CH3-C-CH3/

/ CH2-OH/ Ch2-ONa
2) 2Na + /CH2-OH/ => CH2-ONa + /H2/

3) Benzen z przyłączoną grupą OH + KOH => ?
/OH/
4) /CH3-CH2-CH2-CH2/ + [O] => CH3-CH2-CH2-CH0 + H20

CH3-OH
5) CH3-OH +Ca(OH)2 => ?
CH3-OH

/=O
6) C-H/ +Ag2O => HCOOH + /AG2/


=O
7) CH3COOH + Ca => => /CH3-C-H / +/CaO/

=O
8)/CH3-CH2-CH/ + /NaOH/ => C2H5COONa + H2O

Zadanie jest zamknięte. Autor zadania wybrał już najlepsze rozwiązanie lub straciło ono ważność.

Rozwiązania

Podobne zadania

kasia2008107 przeprowadzono reakcje zobojetniania uzywajac do tego celu 10g wodorotlenku Przedmiot: Chemia / Liceum 1 rozwiązanie autor: kasia2008107 9.4.2010 (12:37)
martus91 podaj reakcje Przedmiot: Chemia / Liceum 2 rozwiązania autor: martus91 12.4.2010 (19:22)
patishq Typowe reakcje chemiczne (pomocy) Przedmiot: Chemia / Liceum 1 rozwiązanie autor: patishq 18.4.2010 (17:22)
magdocha1 Błagam o pomoc jak najszybciej! Napisz reakcje oraz nazwij powstałe produkty. Przedmiot: Chemia / Liceum 2 rozwiązania autor: magdocha1 22.4.2010 (22:07)
creff Witam,potrzebuje pilnie pomocy. Daje 100 pkt za te zadania wykonane poprawnie. Przedmiot: Chemia / Liceum 2 rozwiązania autor: creff 6.5.2010 (17:45)

Podobne materiały

Przydatność 60% Reakcje jądrowe.

1.Jak wiecie z ostatniej lekcji reakcjami jądrowymi nazywamy reakcje w których na skutek trafienia jądra przez jakąś cząstkę dochodzi do zmian tego jądra. 2.Przykładem reakcji jądrowej jest reakcja rozszczepienia , czyli rozpad promieniotwórczy jądra, który zachodzi, gdy przyłączymy do niego neutron. W wyniku tej reakcji powstaną min. 2 lub więcej porównywalnych co do...

Przydatność 55% Reakcje chemiczne

Reakcja chemiczna – przemiana, w trakcie której z jednych składników układu (substratów) powstają inne składniki (produkty), o odmiennych właściwościach fizycznych i chemicznych. Reagent (substancja reagująca) – jest to substancja podlegająca reakcjom chemicznym. Reagentem można nazwać substrat, ale także produkt. 1. Podstawowy podział reakcji chemicznych:...

Przydatność 60% mol, prawo Avogadro, reakcje

Mol- jest to ilość substancji zawierającej 6,02*10do 23. Masa molowa- jest to masa substancji wyrażona w jednostkach g/mol i jest liczbowo równa masie cząsteczkowej. Prawo Avogadro- w równych objętościach różnych gazów, w tych samych warunkach ciśnienia i temp. znajduje się ta sama liczba molekuł. Czynniki wpływające na szybkośc reakcji chemicznej: -temp.(wprost...

Przydatność 50% Reakcje chemiczne - I klasa

Reakcje egzotermiczne: 2Mg + O2 = 2MgO CH4 + 2O2 ® CO2 + 2H2O Zn + 2HCl ® ZnCl2 + H2 Fe + 2HNO3 ® Fe(NO3)2 + H2 2NaOH + H2SO4 ® Na2SO4 + H2O KOH + HNO3 ® KNO3 + H2O Reakcje endotermiczne: 2HgO ® 2Hg + O2 Cu(OH)2 ® CuO + H2O N2 + O2 ® 2NO 2% produktu przy 2000C H2 + J2 ® 2HJ CaCO3 ® CaO +CO2 NH4 HCO3 ® NH3 + CO2 + H2O wodorowęglan...

Przydatność 80% Powstawanie soli - reakcje

1. kwas + zasada = sól + woda 2. metal + kwas = sól + wodór 3. tlenek metalu + kwas = sól + woda 4. tlenek kwasowy + zasada = sól + woda ** 5. tlenek kwasowy + tlenek metalu = sól ** 6. metal + niemetal = sól * 7. sól I + sól II = sól III ! + sól IV 8. sól I + kwas I = sól II + kwas II 9. sól + zasada = sól II + wodorotlenek ! * produktem są tylko sole kwasów...

0 odpowiada - 0 ogląda - 1 rozwiązań

Dodaj zadanie

Zobacz więcej opcji