Zaliczaj.pl
Studia » Matematyka
Dodaj do ulubionych Drukuj
Autor: Chemia_ Dodano: 15.3.2012 (11:49)
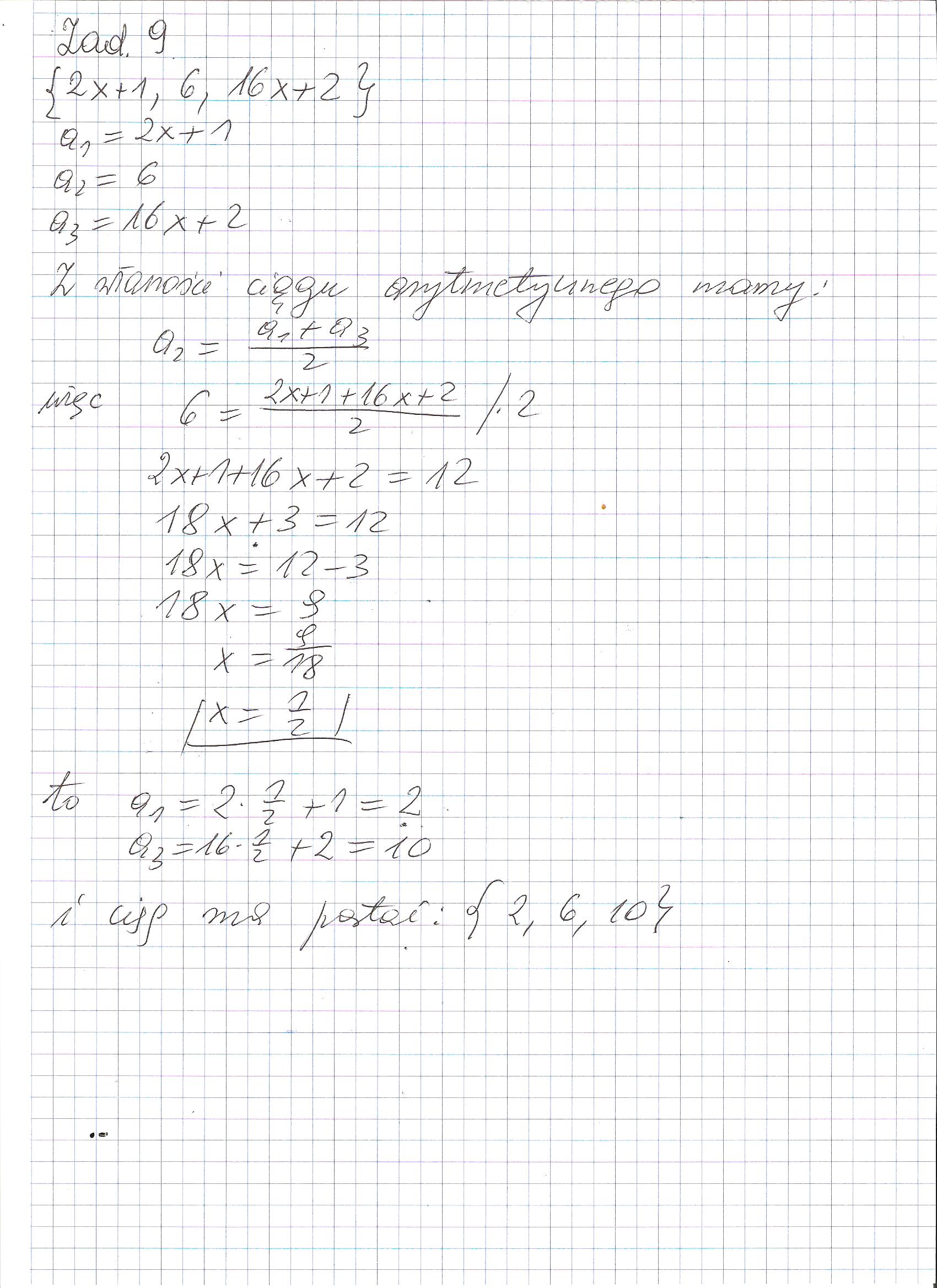
9
Zgłoś nadużycie
Zadanie jest zamknięte. Autor zadania wybrał już najlepsze rozwiązanie lub straciło ono ważność.
1 0
rybitwa11 15.3.2012 (19:46)
zad 9
Dodawanie komentarzy zablokowane - Zgłoś nadużycie
0 odpowiada - 0 ogląda - 1 rozwiązań
Zobacz więcej opcji
1 0
rybitwa11 15.3.2012 (19:46)
zad 9
Załączniki
Dodawanie komentarzy zablokowane - Zgłoś nadużycie