Treść zadania
Autor: cyranela Dodano: 10.3.2012 (21:52)
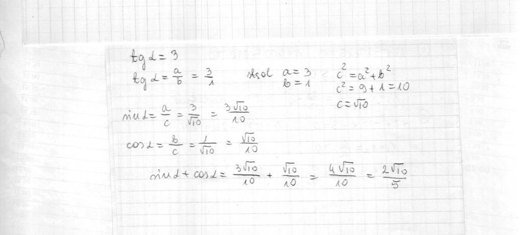
kąt alfa jest kątem ostrym / tg alfa = 3 oblicz sin alfa + cos alfa.
Zadanie jest zamknięte. Autor zadania wybrał już najlepsze rozwiązanie lub straciło ono ważność.
Najlepsze rozwiązanie
Rozwiązania
Podobne zadania
|
|
1 rozwiązanie | autor: pawel 24.3.2010 (16:28) |
|
|
1 rozwiązanie | autor: urwisek4 28.3.2010 (23:44) |
|
|
2 rozwiązania | autor: MartaGrzeszczak1 29.3.2010 (17:43) |
|
|
2 rozwiązania | autor: martusb93 29.3.2010 (18:20) |
|
|
1 rozwiązanie | autor: lusi1069 30.3.2010 (16:42) |
Podobne materiały
Przydatność 75% Alfa Centauri
Gwiazdozbiór Krzyża Południa (Crux) jest najbardziej charakterystycznym gwiazdozbiorem półkuli południowej. Na wschód od Krzyża Południa znajdujemy dwie jasne gwiazdy Alfa Centauri i Beta Centauri (Hadar) w Centaurze (Centaurus). Jest on rozległym gwiazdozbiorem nieba pdołudniowego. Alfa Centauri jest układem potrójnym gwiazd obiegających wspólny środek masy. W jego skład...
Przydatność 60% Promieniowanie alfa,beta,gamma
Promieniowanie alfa to rodzaj promieniowania jonizującego cechującego się małą przenikalnością. Promieniowanie alfa to strumień cząstek alfa. Cząstka alfa (helion) składa się z dwóch protonów i dwóch neutronów. Ma ładunek dodatni i jest identyczna z jądrem atomu izotopu 4He, więc często oznacza się ją jako He2+. Nazwa pochodzi od greckiej litery α. Cząsteczki alfa są...
Przydatność 60% Adrenolityki cz.1 L(alfa)
- L - adrenolityki - B - adrenolityki - leki sympatykolityczne, czyli hamujące czynność presympatycznych neuronów adrenergicznych. Leki te zmniejszają biosyntezę, magazynowanie i uwalnianie neuroprzekaźników (noradrenaliny) z zakończeń adrenergicznych. * L (alfa) - adrenolityki * Zmniejszają opór obwodowy, powodując zmniejszenie ciśnienia krwi. Nie stosuje się ich w...
Przydatność 60% Promieniowanie alfa beta gamma i jego wpływ na organizm człowieka
Badaniem skutków promieniowania jonizującego zajmuje się nauka zwana radiologią. Działanie biologiczne promieniowania jonizującego następuje w wyniku przeniesienia energii promieniowania do poszczególnych cząsteczek, z których składa się żywa komórka. Pierwotny skutek promieniowania występuje w komórce, chociaż zależnie od dawki promieniowania i liczby uszkodzonych komórek...
Przydatność 65% Oblicze Ojczyzny
(praca z 1 klasy gima) słowa w wierszu "*** (oblicze ojczyzny)" Tadeusza Różewicza "na początku ojczyzna jest blisko, na wyciągnięcie ręki" oznaczają, że gdy jesteśmy jeszcze mali ojczyzna to rodzice, koledzy i koleżanki, to nasz dom, nasze podwórko. ważniejsze jest wtedy dla nas to, że koleżance zaginął kot, a nie że wielu ludzi nie ma pracy i nie ma za co wyżywić...
0 odpowiada - 0 ogląda - 1 rozwiązań
1 0
1emili1 10.3.2012 (21:59)
rozw w zał.
Załączniki
Dodawanie komentarzy zablokowane - Zgłoś nadużycie